環形交叉口
環形交叉口是在三條以上街道(或道路)相交的路口中央設定圓島或帶圓弧形狀的島(長方形、橢圓形等),使所有車輛均以同一方向繞島行駛的交叉口。其運行過程一般為先由不同方向匯入環道(合流),接著在同一車道上先後通過(交織)而後由此車道分向駛出(分流)。可以避免直接交叉、衝突和大角度的彼此碰撞,其實質為自行調節的渠化交通形式。優點為車輛可以連續勻速行駛,比較安全,無須管理設施,可以減少車輛剎車、停車、起動,因而可以減少時間延誤,節約燃料,降低噪音,減輕污染,還可以創造一個比較美觀的環境。缺點為占地面積大,繞行距離長,行人過街與自動控制不便。總的通行能力按交織理論,由交織長度、交織時間、交織角大小及交織交通量的大小計算,約為每小時3000輛左右小汽車,交通量過大或行人、腳踏車過多或用地受限制時均不宜採用。按中央島直徑的大小分為:傳統的常規環形交叉口、小型環形交叉口和微型環形交叉口三類,此外還有雙向環行的複式環形交叉口和剪刀式環形交叉口等 。
分類
常規環形交叉口
常規環形交叉口
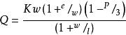
環交進出口常規環形交叉口中心島(圓形或橢圓形、長方形等)直徑在25m以上的環形交叉口。一般交織長度不宜小於30m,交織角度應在15°~30°之間,駛入角度不宜小於30°,駛出角度不宜大於60°,兩交織段的內角不宜大於95°。交織段的通行能力Q按交織理論計算,計算公式用沃氏(Wardrop)公式:(輛/h),要求計算後的Q中載重車占全部車輛數的15%,如超過15%時要進行修正,用於設計目的時應採用此式計算權值的85%;w為交織段寬度(m);P為交織車輛所占百分比;e為環交叉口引道寬度(m);e為環交突出部分寬度(m);e=(e+e)/2(m);l為交織段長度(m);K為係數,英製取108,米製取345 。
小型環形交叉口
小型環形交叉口小型環形交叉口中心島(圓形)直徑為4~25m的環形交叉口。一般在引道入口處適當放寬並布置成喇叭形式,增加入口車道條數,使各車道上的車輛可以同時進入交叉口,大大有利於提高交叉口的通行能力(圖a)。亦可在入口處設定隔島或導向島(圖b)。其優點為占地較少,無須管理就能適合多種環境,缺點為不利於大車、長車特別是無軌電車的通行。入口漸變段寬度與長度之比約1∶12左右,停車線至右側衝突點的距離,一般大於25m。圖中d為靠近中心島的車行道中心線的直徑,約為D/3,D為停車線的內切圓直徑,a為環道寬度不大於前一個入口道寬度b,並設偏嚮導車島以防止車輛直穿 。
微型環形交叉口
微型環形交叉口微型環形交叉口中心島直徑小於4m的環形交叉口。可分為3路、4路和多路交叉的微型環形交叉口。中心島不一定做成圓形,亦不必高於路面,可以用白漆塗成圓圈或用其他醒目的色彩做成亦可,主要是向司機表明車輛需繞行通過。一般為單島式微型環交(圖a),亦可設定導向島(圖b)。此外還有雙島式微型環交、引導錯位微型環交和讓路原則設計的微形環交等。其優點為占地少,可靈活套用,無須管理,缺點為不適應大車與拖掛車行駛以及機動車與非機動車混合行駛。
環交進出口信號燈控制方法
環形交叉口經歷了傳統環形交叉口到現代環形交叉口的演變,使車輛在環道內的自由交織改變為有組織的運行,不僅大大減少了在環交內的交通事故,而且也使環道內的車輛有條件以多股車流進行交織,從而就可通過增加進口道條數來提高環形交叉口的通行能力。英國在此基礎上把傳統環形交叉口改進為小型及微型環形交叉口。
然而,環形交叉口的通行能力畢竟受到其交織段通行能力的限制,並且隨著車流量的增加,環形交叉口的交通流自組織運行狀態將趨於不穩定,任何微小的擾動都足以引起交通的紊亂,出現交通擁擠和堵塞。
環形交叉口的信號控制,是在現有交叉口形式的基礎上,安裝交通信號燈設施,形成環形交叉口加信號燈控制的交通管理方式。
1.作用像普通十字形平面交叉口一樣,在停車(或讓路)標誌管理交叉口的基礎上,當交通需求超過停車管理交叉口所能容納的程度時,應改為信號控制交叉口。環形交叉口也可在原停車管理的基礎上改用交通信號控制,以進一步提高其交通效益。就是用信號燈來給環內車輛及入環車輛輪流分配通行權,組織環道上入環車與環內車的交織運行。所以,其作用不同於普通十字形交叉口(用交通信號來控制兩向車流的交叉)。在環形交叉口上,交通信號燈是用來組織入環車輛與環內車輛之間的交織,而不是兩個不同方向車流的交叉。所以在信號燈的配置、信號燈頭的面對方向、停止線位置的畫法及信號控制方式上,同十字形交叉口都有所不同。而且用信號控制的環形交叉口的平面布局同常規環交也有差別。
2.信號燈的配置環形交叉口的每一個進口端上,應有兩組信號燈:一組面對進口道上的入環車輛,叫入口燈;另一組面對這一進口道與上游進口道之間環道上行駛的車輛,稱為環道燈。由這兩組燈輪流給入環車輛與環內車輛分配通行權,使它們有條件以多股車流分時交織通過環道交織段。
3.停止線相應於上述兩組信號燈,在每一進口端也有兩條停止線:一條畫在進口道的入口端,在進口導向島的角頂,作入環車流的停止線;另一條畫在這個進口道上遊方向的環道上,近右側導向島的前端角頂,作環內車流的停止線。
環形交叉口信號控制方式布置示意圖4.信號控制方式環形交叉口,在交通需求甚大,達到需要多股車流交織程度時,才需用信號控制,所以一般以採用定時信號為宜。同時,為使同一行車方向上的車輛,不致在通過入口燈後,在其下游的環道燈前再次停車,同一方向上的進口道入口燈同其下游的環道燈應組織聯動 。

