什麼是現金流量折現法
現金流量折現法:是對企業未來的現金流量及其風險進行預期,然後選擇合理的貼現率,將未來的現金流量折合成現值。使用此法的關鍵確定:第一,預期企業未來存續期各年度的現金流量;第二,要找到一個合理的公允的折現率,折現率的大小取決於取得的未來現金流量的風險,風險越大,要求的折現率就越高;反之亦反之。
在實際操作中現金流量主要使用實體現金流量和股權現金流量。實體現金流量是指企業全部投資人擁有的現金流量總和。實體現金流量通常用加權平均資本成本來折現。
股權現金流量是指實體現金流量扣除與債務相聯繫的現金流量。股權現金流量通常用權益資本成本來折現,而權益資本成本可以通過資本資產定價模式來求得。
現金流量折現法的計算公式
任何資金都是有成本的,即有時間價值。而就企業經營本質而言,實際上是以追求財富的增加為目的的現金支出行為。在經濟貨幣化乃至金融化後,財富的增加表現為現金或者金融資產的增加。現金一旦投入運營,其流動性完全或部分喪失,隨著經營的進行或時間的延續,其流動性又趨於不斷提高,並最終轉化為現金。因此,公司的經營實際上是一個完整的現金流動過程。未來各個特定經營期間的現金流量的折現就是公司價值的衡量形式,即:
(1)其中,FCF是稅後經營現金流量的總額;
WACC是資本成本。
在將(1)式展開時遇到的一個問題是,企業的生命周期理論上是無限長,不可能對所有未來年份做出預測,因此,通常將展開式分成兩部分,即:
價值=明確的預測期間的現金流量現值+明確的預測期之後的現金流量現值。
明確的預測期之後的現金流量現值稱為連續價值。可以用簡化模型公式估算連續價值,公式如下:
連續價值=淨現金流量/加權平均資本成本
(2)假定明確的預測期後的現金流量為一恆定值,當未來現金流量按某一固定比率增長時,計算公式如下:
(3)其中:NOP為明確的預測期後第一年中自由現金流量正常水平;
g為自由現金流量預期增長率定值;
r為新投資淨額的預期回報率。
DCF套用的步驟如下:
第一步:在有限的範圍內即上述的明確的預測期內(通常5到10年)預測自由現金流量;
第二步:根據是簡化了的模型假設計算預測之後的自由現金流量水平;
第三步:按照加權平均的資本成本(WACC)法折現自由現金流量。
現金流量折現法在企業中的運用
所謂價值評估,指買賣雙方對標的做出的價值判斷。在企業併購活動中,對目標企業的估價是決定交易是否成交的價值基礎。目標企業估價主要取決於併購企業對其未來收益的大小和時間的預期。其本質上是一種主觀判斷,但並不是可以隨意估價,而是有一定的科學方法可依據的。企業一般可以使用多種方法對目標企業估值。現金流量折現法是一種理論性較強的方法,它是以現金流量預測為基礎,充分考慮了目標企業未來創造現金流量能力對其價值的影響,在崇尚“現金至尊”的現代理財環境中,對企業併購決策具有現實的指導意義。現金流量折現法中,沃斯頓(weston)模型估價法是最具代表性的一種估價方法,目前在歐美國家企業併購活動中已得到廣泛採用。
用現金流量法折現評估目標企業價值,同一般資本預算分析相似:估計兼併後增加的現金流量和用於計算這些現金流量現值的折現率,然後計算出這些增加的現金流量的現值,這就是兼併方所能支付的最高價格。如果實際成交價格高於這個價格,兼併不但沒有給兼併企業帶來好處,反而引起虧損。
一、現金淨流量
NCF=X(1-T)-I
其中:NCF——現金淨流量;
X——營業淨收入(NOI)或稅前息前盈餘(EBIT);
T——所得稅率;
I——投資。
二、折現率
在現金流量折現模型中,折現率是考慮投資風險後,兼併方要求的最低收益率,也就是該項投資的資本成本。但這裡的資本成本是兼併企業投資於目標企業的資本的邊際成本,而不是兼併方企業資本的成本。兼併目標企業所用的資本,一部分來自兼併企業和被兼併企業的自有資本,另一部分則是兼併企業和被兼併企業向外界舉債。自有資金的成本可用資本資產定價模式(CAPM)求得,而債務成本則可用債務利息經稅務調整後的有效利率得到。最後,該項投資的資本成本就是這2 者的加權平均,也就是平均資本成本(WACC),即:
WACC = K = Ks(S / V) + Kb(1 − T)(B / V)
其中:B——企業向外舉債;
S——企業動用自有資金數量;
V——企業的市場總價值;
Ks——企業股東對此次投資要求的收益率;
Kb——債務的利率;
T——兼併後企業的邊際稅率。
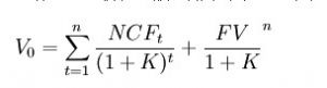
三、目標企業的價值評估——沃斯頓模型(Weston)
目標企業的價值一般可用未來收益的現值表示,其計算公式為:
3其中:FV——目標企業在第n期末的價值;
Vo——企業價值;
NCFt——第t年的現金淨流量;
K——資本邊際成本;
n——年數,即投資期限。
在現實生活中,幾乎每個企業都會隨著其生命周期的起伏而經歷不同的成長階段:企業早期的成長率高於整個經濟體系成長率;企業中期的成長率等於經濟體系成長率;而企業晚期的成長率顯然低於整個經濟體系成長率。沃斯頓模型建立在企業經歷零增長時期的假定基礎之上,模型雖然簡單,但經過變更後卻能適應企業各種不同成長形態的需要,其中最常用的有3個基本模型。
這3個基本模型是:零增長模型;固定比率增長模型;超常增長模型。
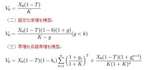
(一)零增長模型:
6式中:X——營業淨收入(NOI)或息稅前盈餘(EBIT);
gs——營業淨利或息稅前盈餘增長率;
k——加權資金成本
bs——稅後投資需求或投資機會;
n——增長持續期;
T——所得稅率。
現金流量折現法舉例
A企業是一個以生產起重機為主的設備製造企業,由於內部盈利率低和投資機會缺乏,決定收購某企業,以實現有利投資機會與獲利的增長。在眾多企業中,A企業選擇了B、C兩企業,其中B企業是一家通訊設備生產企業,在市場開發和產品研究上頗具實力,有著很高的盈利率和眾多的投資機會;C企業是一家軟體生產廠商,其盈利率高於B企業。有關資料如表1.
表1基本資料
6補充資料包括:無風險報酬率(Risk-free Rate)為6%(RF),期望市場報酬率為11%(RM),負債利息率為10%,所得稅率為50%,超常增長時期為10年。
根據以上資料,可以編制3個企業的簡易資產負債表(見表2)
表2 收購前的資產負債表 (單位:百萬元)
4用內部盈利率除以(1-所得稅率),然後乘以總資產,即可得出營業淨收入,繼而求出每股市價和資產總市價,其計算過程如表3.
表3 每股市價
8表4 收購對A企業每股盈餘的影響
5用自然對數回歸的方法可以確定NOI和gs、b,計算結果如表5.
表5 自然對數回歸法的分析結果
'
2下面即利用估價公式進行分析:
(一)計算收購後的資金成本
對於每種方案,以收購前每個企業資產總市價占兩個企業總市價的比例為權數對每個企業的貝他風險係數加權,計算綜合貝他風險係數(β係數),由貝他係數即可得出收購後的資金成本。
4(二)用債務成本與資金成本,求收購後的加權平均資金成本(WACC)
表6 收購後的資產負債表
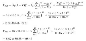
8根據估價公式,將上述已知變數分別代入,求出收購後價值。
4(三)利用計算結果,將兩方案進行比較(見表7)
表7兩種方案比較表
3比較結果顯示,收購B企業帶來3 400萬元的收益,而A、C企業的合併卻發生500萬元的收購損失。儘管這一計算過程存在一定的誤差,但它至少可以證明A企業收購B企業較收購C企業更為理性、科學。
本法為企業收購決策提供了一種更為簡潔的估價方法,收購企業為達到理性收購,必須估計合理的投資報酬率與風險;對不同的收購方案進行比較以檢驗不同的市場戰略和環境因素的結合對企業價值產生的影響。
現金流量折現法的價值
現金流量折現法是資本投資和資本預算的基本模型,被看做是企業估值定價在理論上最有成效的模型,因為企業的經濟活動就表現為現金的流入和流出。由於有堅實的基礎,當與其他方案一起使用時,現金流量折現法所得出結果往往是檢驗其他模型結果合理與否的基本標準。
現金流量折現法的原理比較簡單,它是通過權衡為收購而投入的現金量這一投資所有未來能產生的淨現金量和時間(扣除折舊、營運需要等)來計算的。這一計算可得出內部收益率(IRR),即現金流入量現值等於現金流出量現值時所得到的內涵折現率。
另外,未來現金流量也能折算成現值並與原始投資比較。這一計算得出的是淨現值(NPV),即在現值條件下支出和預期金額之間的差。
不管是內部收益還是淨現值,折現現金流量都要求估算出一個最終的價值額(利用不同的增長模型),年限一般是7~10年以上。
現金流量折現法的主要缺點就是其對現金流量估計和預測的固有的不確定性。由於必須對許多的有關市場、產品、定價、競爭、管理、經濟狀況、利率之類作出假定,準確性因而減弱。不過,在每次併購中,人們都應該使用現金流量折現法。因為它把注意力集中到最重要的假定和不確定性上,尤其是將它用於為買方確定最高定價時,其結果具有重要的參考價值。
現金流量折現法是西方企業價值評估方法中使用最廣泛、理論上最健全的方法,而在我國企業價值評估中也受到一定的限制。現金流量折現法中要求對未來現金流量做出預測,而我國現行的企業會計制度很難準確地做到這一點。從理論上講只有當市場完善,會計制度健全,信息披露能夠較為真實的反映企業的過去和現狀時,運用這種方法才最為合理。雖然我國目前還沒有達到理想的適用條件,但不論是理論界還是實務界都已經開始嘗試這種方法。從長遠發展趨勢看鼓勵這種方法的運用。
舉例
舉個極端的例子來說明一下用 “ 未來現金流折現的思維方式 ” 去毛估估公司內在價值的方法。
假設有家公司,比如叫 “ 美國虎牙 ” 。以下是所有的假設條件:
1.沒有債務,以後也沒有。(現在有淨現金)
2.股票發行量永久不變。(其實由於option和回購的原因,一直在變)
3.每年有10億美金現金流(正好=淨利潤)入賬,並且每年都把入賬的現金流派給股東。(現在現金流大過10億但利潤沒有到,不分紅)
4.擁有 “ 日本虎牙 ” 公司30%的股份。2020年後市值500億美金。(也許更高,誰知道呢?在日本,虎牙可是比狗牙要流行啊)
5.擁有香港 “ 一路發發 ” 公司的股份30%。2020年後市值1000億美金。(呵呵,CEO有這個信心,我也覺得有可能,但不確定)
6.擁有中國大陸未上市公司 “ 阿拉奶奶 ” 40%股份。該公司2015年上市,ipo價格是500億美金,到2020年市值1500億美金。(很可能)
7.2020年美國有家叫 “ 相當硬 ” 的公司以200億美金的價格收購了 “ 美國虎牙 ” 的美國部分,同時把其他部分資產(3個上市公司)的股票
直接分給所有 “ 美國虎牙 ” 的股東。(沒人買也沒關係,就為了計算方便。)
8.不考慮股東拿到分紅及股票的稅收問題。(怎么可能沒稅收?)
9.假設貼現率6%。(如果是4%或5%的話,差別還挺大的,誰沒事算算?)
現在來算這顆 “ 虎牙 ” 可以值多少錢:
a、每年10億的收入,共10年:10+10/1.06+10/(1.06的平方)+。。。+10/(1.06的9次方)=10+9.43+8.90+8.40+7.92+7.47+7.05+6.65+6.27+5.91=78.02億美金.
b、 “ 日本虎牙 ” 的折現:500/(1.06的10次方)*30%=83.76億美金。
c、 “ 一路發發 ” 的折現:1000/(1.06的10次方)*30%=167.52億美金。
d、 “ 阿拉奶奶 ” 的折現:1500/(1.06的10次方)*40%=335.04億美金。
e、 “ 相當硬 ” 的折現:200/(1.06的10次方)=111.68億美金。
a+b+c+d+e=776.02億美金。如果以上所有假設條件都成立的話,這就應該是這家公司的 “ 內在價值 ” 了。問題是事實上以上所有條件都是假設,任何一個條件的改變都會改變這家公司的內在價值。這裡只是說了10年,實際上評估一個公司如果能夠用更長的時間去評估的話,可能會更清楚些(但更難)。對所有條件是否成立的理解或判斷是很難的,按芒格的說法是不會比當一個 “ 鳥類學家 ” (或者是 “ 經濟學家 ” )容易。
特別說明的一點:如果一家公司擁有大量現金在手卻一直不能增值的話,長期來講這個現金是會貶值的。問題是如果這個現金用的不好的話,貶值更快。
這個例子的缺陷是b、c、d用的都是市值,這會和內在價值有偏差的。
以上所有數據都是為了方便計算而假設的,和任何真實公司無關。
引申的結論:菸蒂型投資的回報可能要低於好的成長型公司。這號稱是芒格對巴菲特的貢獻。
另外:這個辦法最好算的例子可能是房產。用未來現金流折現來計算現在的價錢貴不貴。這裡的未來現金流指的是(租金-費用)。不明白的想想房子。再不明白就回去看看《窮爸爸》,明白的就可以有機會當《富爸爸》了。

