致冷器採用了珀爾帖效應簡介概要
半導體致冷器對帕爾帖效應的物理解釋是:電荷載體在導體中運動形成電流。由於電荷載體在不同的材料中處於不同的能級,當它從高能級向低能級運動時,便釋放出多餘的能量;相反,從低能級向高能級運動時,從外界吸收能量。能量在兩材料的交界面處以熱的形式吸收或放出。
半導體致冷器, 也叫熱電致冷器或溫差致冷器。就採用了珀爾帖效應。
發現過程
致冷器原理發現者
帕爾帖帕爾帖生於法國索姆,他本來是一個鐘錶匠,30歲那年放棄了這個職業,轉而投身到實驗與科學觀測領域之中。在他撰寫的大量論文中,絕大部分都是關於自然現象的觀測,譬如天電、龍捲風、天空藍度測量與光偏振、球體水溫、極地沸點等,也有少量博物學方面的論文。
1837年,俄國物理學家愣次(Lenz,1804~1865)發現,電流的方向決定了吸收還是產生熱量,發熱(製冷)量的多少與電流的大小成正比,比例係數稱為“帕爾帖係數”。
Q=л·I=a·Tc·I,其中л=a·Tc
式中:Q——放熱或吸熱功率
π——比例係數,稱為珀爾帖係數
I——工作電流
a——溫差電動勢率
Tc——冷接點溫度
物理原理
物理原理
珀爾帖效應對帕爾帖效應的物理解釋是:電荷載體在導體中運動形成電流。由於電荷載體在不同的材料中處於不同的能級,當它從高能級向低能級運動時,便釋放出多餘的能量;相反,從低能級向高能級運動時,從外界吸收能量。能量在兩材料的交界面處以熱的形式吸收或放出。
珀爾帖效應式中I-----流經導體的電流,A。
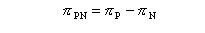
類似的,對於P型半導體和N型半導體組成的電偶,其帕爾貼係數π。有
珀爾帖效應帕爾貼效應與西伯克效應都是溫差電效應,二者有密切聯繫。事實上,它們互為反效應,一個是說電偶中有溫差存在時會產生電動勢;一個是說電偶中有電流通過時會產生溫差。溫差電動勢率與帕爾貼係數之間存在下述關係
珀爾帖效應式中T-----結點處的溫度,K。
實驗儀器
實用新型屬於物理學用的教學儀器。它選用N型半導體和P型半導體組成多個電偶對。當直流電流進N—P型電偶對時,電偶對右端吸熱,形成冷端,連線一透明冷室;左端放熱,形成熱端,連線一散熱水箱。配以溫度計、毫伏表、可演示珀爾帖效應、賽貝克效應,具有方便、直觀、效果明顯的優點。作為冷源演示熱學現象,是一種不需冷媒的,方便、直觀、清潔、無毒害的教學冷源。
其特徵是選用N型半導體和P型半導體形成多個電偶對,組成冷板,當直流電流進N—P型電偶對時,電偶對右端吸熱,形成冷端,連線一透明冷室,電偶對左端放熱,形成熱端,連線一散熱水箱。
生活套用
TEC套件與風冷和水冷相比,半導體致冷片具有以下優勢:(1)可以把溫度降至室溫以下;(2)精確溫控(使用閉環溫控電路,精度可達±0.1℃);(3)高可靠性(致冷組件為固體器件,無運動部件,壽命超過20萬小時,失效率低);(4)沒有工作噪音。
TEC原理
TEC基本工作過程:當一塊N型半導體和一塊P型半導體結成電偶時,只要在這個電偶迴路中接入一個直流電源,電偶上就會流過電流,發生能量轉移,在一個接點上放熱(或吸熱),在另一個接點上相反地吸熱(或放熱)。
珀爾帖效應帕爾帖模組也稱作熱泵(heatpumps),它既可以用於致熱,也可以致冷。半導體致冷片就是一個熱傳遞工具,只要熱端(被冷卻物體)的溫度高於某溫度,半導體製冷器便開始發揮作用,使得冷熱兩端的溫度逐漸均衡,從而起到致冷作用。
