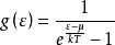
玻色子是 自旋為整數( 即自旋為n*h/2π,h是普朗克常量)的粒子,如光子,W粒子,Z粒子,He 4原子,全同玻色子系統中粒子不可分辨,每一量子態容納的粒子數可以是任意正整數個。對於粒子數、體積和總能量確定的玻色子系統,當溫度為T時 ,處在能量為的量子態上的平均粒子數為
玻色分布式中,k是玻耳茲曼常量,μ是化學勢。在高溫和低密度條件下,玻色分布過渡到經典的麥克斯韋-玻耳茲曼分布。當化學勢μ=0時,基態分布發散,因此大量粒子會跑到基態去,形成玻色-愛因斯坦凝聚。
玻色分布,全同和獨立的玻色子系統中粒子的最概然分布。
玻色子是 自旋為整數( 即自旋為n*h/2π,h是普朗克常量)的粒子,如光子,W粒子,Z粒子,He 4原子,全同玻色子系統中粒子不可分辨,每一量子態容納的粒子數可以是任意正整數個。對於粒子數、體積和總能量確定的玻色子系統,當溫度為T時 ,處在能量為的量子態上的平均粒子數為
玻色分布式中,k是玻耳茲曼常量,μ是化學勢。在高溫和低密度條件下,玻色分布過渡到經典的麥克斯韋-玻耳茲曼分布。當化學勢μ=0時,基態分布發散,因此大量粒子會跑到基態去,形成玻色-愛因斯坦凝聚。
玻色愛因斯坦分布是指熱平衡狀態下,全同玻色子(自旋為整數或零的粒子)相對於能量狀態的統計分布。
定義 表示式 套用Bose-Einstein condensation(BEC)玻色-愛因斯坦凝聚(BEC)是科學巨匠愛因斯坦在80年前預言的一種新物態。這裡的“凝聚”與...
簡介 發現史 玻色-愛因斯坦冷凝態 鹼性原子的玻色愛因斯坦冷凝態的實現玻色因是歐萊雅實驗室歷時7年研製成功的一種活性抗衰老成分,獲得過Marie Claire美容大獎,並受到美容界和化妝品界專家的一致認可。玻色因來源西歐山...
理論 發現 用於降低光速 S·N·玻色玻色–愛因斯坦凝聚(Bose–Einstein condensate)是玻色子原子在冷卻到接近絕對零度所呈現出的一種氣態的、超流性的物質狀態(物態)。1...
簡介 理論 發現 用於降低光速 參閱玻色-愛因斯坦冷凝物是物質的一種奇特的狀態,處於這種狀態的大量原子的行為 像單個粒子一樣。打個比方,練兵場上的士兵剛解散不久,突然指揮 官發令“向東齊步...
名稱由來 後續研究 實踐條件 玻色-愛因斯坦凝聚態和費米凝聚態薩特延德拉·納特·玻色(Satyendra Nath Bose,1894年1月1日—1974年2月4日) ,印度物理學家,專門研究數學物理。 薩特延德拉...
著名的研究 生平情況 軼事在與經典統計性質不同的量子效應中,常常出現一些性質相同的粒子。例如我們可能須要處理一些在位置、動量和自旋等方面幾乎都相同的電子;或者我們所要研究的光子它...
玻色-愛因斯坦凝結,微觀粒子具有靜質量、電荷、壽命和自旋等內稟屬性。其中,自旋為整數的粒子稱為玻色子,其分布服從玻色-愛因斯坦統計;自旋為半整數的粒子稱...
量子現象玻色愛因斯坦凝聚Bose-Einstein condensation (BEC) 是科學巨匠愛因斯坦在80年前預言的一種新物態。這裡的“凝聚” 與日常生...
玻色愛因斯坦凝聚(BEC) 提出的歷史: