玻耳茲曼方程數值解法
正文
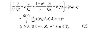
玻耳茲曼方程是原子物理、天體物理等領域中的描寫粒子(中子、質子、光子等)運動的基本微分-積分方程。假定粒子在兩次碰撞之間作等速直線運動,而在穿過介質的過程中按照一定的機率與其他粒子相碰撞,從而發生偏斜、慢化、被吸收或增殖等現象。由於粒子是大量的,因此可以忽略統計起伏,把它們看成是連續體。求解玻耳茲曼方程,就是要求出在任一時刻,具有不同速度的粒子在空間的分布。玻耳茲曼方程數值解法很多,其中以解描述中子輸運問題的玻耳茲曼方程的數值方法較為典型。描述非定常中子輸運過程的玻耳茲曼方程為:
, (1)
是獨立中子源。對於單速各向同性散射一維球對稱問題,非定常中子輸運方程為 
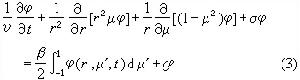
。
①球諧函式法 它把φ和
按勒讓德多項式PN(μ)(球諧函式)展開,例如,令 
②威克-昌德拉塞卡離散縱標法 簡稱WC法。它(主要針對平板幾何問題)是取μ的一組固定值,μ0,μ1,…,μN,對φ(r,μi,t)(i=1,2,…,N)寫出方程組。右端積分用數值積分逼近,例如取μi為勒讓德多項式零點的高斯求積公式,然後用差分法求解。對於各向同性散射的平板問題,WC法和球諧函式法是等價的。
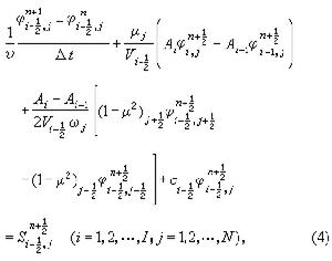
1953年 B.G.卡爾森提出了解中子輸運方程(2)的SN方法,該法取-1=μ0<μ1<…<μN=1(其中

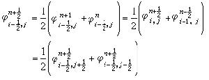
),把【-1,1】分成N個區間,在每個區間【μj-1,μj】上假定φ是μ的線性函式,同樣取
R,假定在每個區間 【ri-1,ri】上 φ 也是 r 的線性函式。將(2)在區域{ri-1≤r≤ri,μj-1≤μ≤μj}上對r和μ積分,然後對時間作隱式向後差分得到差分格式,並適當選取插值公式,使差分方程的解滿足粒子數守恆的性質。 卡爾森等人在50年代末進一步提出離散SN法,又稱 離散縱標法(簡記DSN法)。這種方法可以比較容易地推廣到多維情況。它是從守恆方程

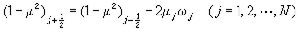
,-1<μ1<μ2<…<μN<1,其中μ1,μ2,…,μN取為勒讓德多項式零點,取N為偶數,右端積分用高斯積分公式近似。在點
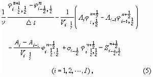
上建立差分,為此在高斯積分係數ωj對應的子區間上對μ 近似積分,在(ri-1,ri)上對r作體積分,對t用中心差分,則得 
是以 ri-1和ri為內外半徑的球殼的體積,Ai是半徑為ri的球面面積。
,
按遞推公式 


。若取φn為疊代初值,把S中的φ用前次疊代值代入,則利用邊界條件,(4)、(5)可顯式遞推求解,計算步驟按μ從小到大的順序進行。當μ<0時,利用外邊界條件對r從大到小進行計算,當μ>0時,則利用中心對稱條件,對r從小到大進行計算。 SN方法和 DSN方法是求解玻耳茲曼方程的有效的數值方法,其主要缺點是計算中可能出現負通量,為了避免出現負通量有各種修正格式。
對於定常的玻耳茲曼方程,70年代出現了多種有限元算法。有通過引進角通量偶次分量,把方程化為自伴形式,再構造泛函求極小的有限元算法;也有直接用加廖金法(包括連續的和不連續的方法)和配置法等的有限元算法。
此外,還有許多其他的數值方法,例如特徵線法、分裂法和幾種方法相結合的混合解法,以及求解積分型輸運方程的各種數值方法。而基本機率理論的蒙特卡羅法在輸運計算中也占有重要的地位。
參考書目
R.D.Richtmyer and K.W.Morton,Difference Method for Initialvalue Problems, 2nd ed.,Interscience, New York,1967.

