兩個事件的獨立性
定義1
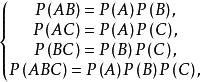
獨立性[統計學]若 兩事件滿足等式
獨立性[統計學]則稱事件A與B 相互獨立。
注意點
(1) 機率為零的事件與任何事件相互獨立;
獨立性[統計學]
獨立性[統計學]
獨立性[統計學]
獨立性[統計學]
獨立性[統計學](2) 當 時, 相互獨立與 互不相容不能同時成立,它們是完全不同的兩個概念: 相互獨立是從機率的角度來考慮的, 互不相容是從事件本身來考慮的。
性質定理
獨立性[統計學]
獨立性[統計學]
獨立性[統計學]
獨立性[統計學]定理1 設 是兩事件。且 ,若 相互獨立。則 ,反之亦然。
獨立性[統計學]
獨立性[統計學]
獨立性[統計學]
獨立性[統計學]
獨立性[統計學]
獨立性[統計學]定理2 若事件A與B相互獨立,則 與 , 與 , 與 也相互獨立。
獨立性[統計學]
獨立性[統計學]證明: 這裡只證明與相互獨立。
獨立性[統計學]
獨立性[統計學]由,得
獨立性[統計學]
獨立性[統計學]
獨立性[統計學]所以與相互獨立。
有限個事件的獨立性
三個事件相互獨立
獨立性[統計學]設 為3個事件,如果滿足等式
獨立性[統計學]
獨立性[統計學]則稱事件 相互獨立。
獨立性[統計學]對 個事件的獨立性,可類似寫出其定義。
n個事件相互獨立
獨立性[統計學]
獨立性[統計學]
獨立性[統計學]
獨立性[統計學]一般地,設 是 個事件,如果對於其中任意2個,任意3個,...,任意 個事件的積事件的機率,都等於各事件機率之積,則稱 相互獨立。
兩兩獨立
獨立性[統計學]
獨立性[統計學]
獨立性[統計學]設 是 個事件,若其中任意兩個事件之間均相互獨立,則稱 兩兩獨立。
註:相互獨立一定兩兩獨立、兩兩獨立不一定相互獨立。
獨立性[統計學]
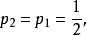
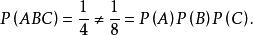
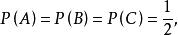
獨立性[統計學]例題:如果將一枚硬幣拋擲兩次,觀察正面H和反面T的出現情況,則此時樣本空間為 ,令 。
獨立性[統計學]則
故有
獨立性[統計學]
獨立性[統計學]
獨立性[統計學]由定義1知, 任意兩個事件都是相互獨立的,但是
獨立性[統計學]
獨立性[統計學]也就是說 兩兩獨立,並不相互獨立。
相互獨立性的性質
性質1
獨立性[統計學]
獨立性[統計學]若事件 相互獨立,則其中任意 個事件也相互獨立。
由獨立性定義可直接推出性質1。 ’
性質2
獨立性[統計學]
獨立性[統計學]
獨立性[統計學]若n個事件 相互獨立,則將 中任意 個事件換成它們的對立事件,所得的n個事件仍相互獨立。
獨立性[統計學]從直觀上看是顯然的,對 時,定理2已作證明,一般情況叮利用數學歸納法證之,此處略。
與相關性的關係
假設隨機變數X、Y的相關係數存在。如果X和Y相互獨立,那么X、Y不相關。反之,若X和Y不相關,X和Y卻不一定相互獨立。不相關只是就線性關係來說的,而相互獨立是就一般關係而言的。
例題解析
例1 有兩門高射炮獨立地射擊一架敵機,設甲炮擊中敵機的機率為0.8,乙炮擊中敵機的機率為0.7,試求敵機被擊中的機率。
解: 設A={甲炮擊中敵機},B={乙炮擊中敵機},則A U B={敵機被擊中},由題意知,P(A)=0.8,P(B)=0.7,由於A,B相互獨立。故
獨立性[統計學]例2 有甲、乙兩批種子,發芽率分別為0.8和0.7,並假設每批種子發芽與否是相互獨立的,從兩批種子中各隨機地抽取一粒,求:
(1)兩粒都能發芽的機率;
(2)至少有一粒種子能發芽的機率;
(3)恰好有一粒種子能發芽的機率。
獨立性[統計學]解: 設A={取自甲批種子中的某粒種子能發芽},B={取自乙批種子中的某粒種子能發芽},則所求的機率分別為:。
獨立性[統計學]
獨立性[統計學]由於 ,且 相互獨立,故有:
獨立性[統計學]
獨立性[統計學]
獨立性[統計學]
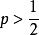
獨立性[統計學]例3 甲、乙兩人進行網球比賽。每局甲勝的機率為p,且 .試問對甲而言,採用三局二勝制有利,還是採用五局三勝制有利?設各局勝負相互獨立。
獨立性[統計學]解: 採用三局二勝制,甲最終獲勝,其勝局的情況是:“甲甲”或“乙甲甲”或“甲乙甲”,而這三種結局互不相容,於是由獨立性得甲最終獲勝的機率為 。
採用五局三勝制,甲最終獲勝,至少需比賽3局(可能賽3局.也可能賽4局或5局),且最後一局必須是甲勝,而前面甲需勝二局。例如.共賽4局,則甲的勝局情況是:“甲乙甲甲”、“乙甲甲甲”、“甲甲乙甲”、且這三種結局互不相容,由獨立性得甲最終獲勝的機率為:
獨立性[統計學]
獨立性[統計學]於是,。
獨立性[統計學]
獨立性[統計學]
獨立性[統計學]
獨立性[統計學]當 時, ,即對甲來說採用五局三勝制較為有利;當 時, 即兩種賽制甲、乙最終獲勝的機率相同。
上面這個例子所涉及的隨機試驗只有兩種可能的結果:甲勝或甲輸,且試驗在相同條件下可獨立重複地進行,在每次試驗中甲勝的機率都是相同的,具有這種特徵的概型就是伯努利概型。
![獨立性[統計學] 獨立性[統計學]](/img/2/695/nBnauM3XwYzM2QjM5QTM5ITN1UTM1QDN5MjM5ADMwAjMwUzL0EzL3gzLt92YucmbvRWdo5Cd0FmLyE2LvoDc0RHa.jpg)
