性質
又稱特性黏度(intrinsic viscosity),特性黏數(intrinsic viscosity number)。聚合物溶液的黏數在無限稀釋情況下的極限值,用[η]表示亦可用無限稀釋時對數黏數的極限值表示
黏度法(viscosity)
利用毛細管黏度計通過測定高分子稀溶液的相對黏度,求得高分子的特性黏數,然後利用特性黏數與相對分子質量的關係式計算高聚物的黏均相對分子質量。
特性黏數(舊稱特性黏度)
測定所用的設備主要是一根黏度計,通常採用可稀釋的烏氏(Ubbelohde)黏度計。當黏度計流速再100秒以下時,必須考慮動能校正,從泊肅葉(Poiseuille)定律出發,可導出校正式:特性黏數(舊稱特性黏度)
測定所用的設備主要是一根黏度計,通常採用可稀釋的烏氏(Ubbelohde)黏度計。當黏度計流速再100秒以下時,必須考慮動能校正,從泊肅葉(Poiseuille)定律出發,可導出校正式:
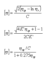
特性黏數外推法求特性黏數採用的黏度~濃度關係式有:
Huggins方程式
特性黏數Kraemer方程式
特性黏數式中:
特性黏數一點法只用一個濃度計算 ,常見的一點法公式有:
特性黏數