定義
特徵標理論設V為一個域F上的有限維向量空間且設 為一個群G於V上的表示。則ρ的 特徵標即為如下給定之函式:
特徵標理論
特徵標理論其中 為矩陣的跡數。
一個特徵標χρ若被稱為是不可約的,即表示ρ是一個不可約表示。若被稱為是線性的,則表示ρ的維度等於1。χρ的核為集合
特徵標理論
特徵標理論其中 是χρ在群 單位元上的值。當ρ是G的k維表示且1為G的單位元時,
特徵標理論和特徵標群的情況不同,一個群的特徵標通常不會自己“形成”一個群。
拓撲群的情形
特徵標理論
特徵標理論
特徵標理論在調和分析中,通常定義局部緊阿貝爾拓撲群G的特徵標為連續群同態 ;在此, 表示單位圓構成的群,等價地說就是 。
特徵標理論
特徵標理論部分作者將特徵標的定義放寬為連續群同態 ,而將取值在 則稱作么特徵標。其他人則保留原初定義,而將這類廣義的特徵標稱為 擬特徵標。
特徵標理論
特徵標理論G 的全體特徵標構成一個群 ,群二元運算的定義是 ,稱為對偶群。龐特里雅金對偶性總結了對偶群的一般性質。
性質
1、特徵標是一個類函式,即為對一個共軛類內的所有元素來說,χ會是個常數。
2、兩個同構的表示會有相同的特徵標。若係數域的特徵char(F)=0,則兩個表示為同構的,若且唯若它們有著完全相同的特徵標。
特徵標理論3、若一個表示可以是多個子表示的直和: ,則其相對應的特徵標會是其所有子表示的特徵標之和:
特徵標理論
特徵標理論4、在有限群的情況下,每個特徵標 都是n個m次單位根之和,其中n為表示內域的維度,m則是g的階。
特徵標理論5、若F是代數封閉的且char(F)不可以整除G的階|,則G的不可約特徵標之數量等於G的共軛類數: 。
算術性質
特徵標理論
特徵標理論令 和 為G的兩個表示,則有下列的等式成立:
特徵標理論
特徵標理論
特徵標理論
特徵標理論
特徵標理論
特徵標理論
特徵標理論
特徵標理論
特徵標理論
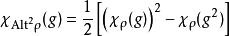
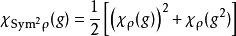
特徵標理論其中 為兩者的直和, 為兩者的張量積, 為 的共軛轉置,以及Alt稱為交替積 而Sym則稱為對稱方,其值由下式決定:
特徵標理論特徵標的誘導與限制
特徵標理論
特徵標理論
特徵標理論
特徵標理論
特徵標理論
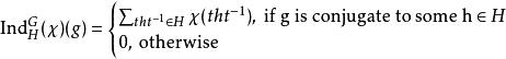
特徵標理論設G 為有限群, 為其子群,而 為 G 的表示,其特徵標記為 。令 為誘導表示 的特徵標;根據弗羅貝尼烏斯互反定理,對所有 G 的特徵標 ,恆有下述等式
特徵標理論
特徵標理論此等式可用來刻劃類函式 。事實上,若選定陪集分解
特徵標理論
特徵標理論還可以明確地寫下 的取值:
特徵標理論特徵標表
一個有限群的不可約特徵標可以形成一個特徵標表,其蘊含著許多有關群G在緊緻形式時的有用資訊。每一行標記著一個不可約特徵標且包含著此一特徵標在每個G的共軛類上的值。
特徵標理論下面是有三個元素之循環群 的特徵標表:
特徵標理論其中的u為一個原三次單位根。特徵標表總會是正方的,因為不可約表示的數目總會相等於共軛類的數目。特徵標表的第一個行總會是1,其對應至群的當然表示上。
正交關係
有關特徵標表最重要的性質之一為其在行與列上都會有著正交關係。對特徵標(即對特徵標表中的行)的內積由下給出:
特徵標理論
特徵標理論
特徵標理論其中, 表示 在g上的值的複數共軛。
特徵標理論對於此一內積而言,不可約特徵標兩兩正規正交:
對表中的列的正交關係則由下列給出:
特徵標理論
特徵標理論對 ,其和為
特徵標理論
特徵標理論其中相加的範圍為所有G的不可約特徵標,而符號則表示為g的共軛類之大小。
此一正交關係可以幫助許多的運算,如:
•將一個未知特徵標分解成不可約特徵標的線性組合。
•當只有一些不可約特徵標為可知時,建構其完整的特徵標表。
•求出群的共軛類的表示的中心化子的階。
•求出群的階。
特徵標表性質
一個群G的某些性質可以由其特徵表中推導出來:
1、G的階就是表上所有特徵標之在1上的取值的平方:(χ(1))2的總和(伯恩賽德公式)。
2、G是可換的若且唯若對每個在表上的特徵標,χ(1) = 1。
3、G有一個非當然正規子群(即G不是一個簡單群)若且唯若對於某些表上的非當然特徵標χ和一些於G內的非單位元素g,會有χ(1) = χ(g)。
特徵標表通常不會將群分至同構:例如,四元群Q和有8個元素的二面體群D4會有同樣的特徵標表。對有限群之特別例子,詳見有限群表示理論。一維表示的特徵標會形成一個特徵標群,其和數論中有著很重要的關連。
