定義公式
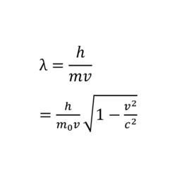
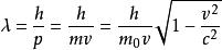
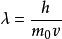
德布羅意波波長的公式:
物質波公式其中的物理意義:
λ表示被求解的物體的波長;
c表示光速;
v表示物體的速度;
m表示物體的質量;
h為普朗克常量;
對於我們周圍的巨觀物體,波長至少在 λ≈10^-20的量級以下。因為波長太小,巨觀物體無法體現其波動性。
推導過程
單個光子的能量和動量可表示為:
物質波公式
物質波公式(h:普朗克常量;c:光速;λ:光的波長;f:光的頻率)
根據狹義相對論的質能守恆公式,光子的能量又可通過如下方式表示。
物質波公式兩式聯立
物質波公式得到 光子的波長與動量的關係式
物質波公式德布羅意認為,實物粒子也遵循這些規律。當質量為m的實物粒子運動時,其具有能量E和動量p;在波動性方面,其具有波長λ和頻率f。當推廣到實物粒子時,將光子動量代換為實物動量,做出如下修正(考慮相對論情況):
物質波公式(v:物體運動速度;m0:物體的靜質量)
當實物粒子運動速度遠小於光速(v<<c)時,公式退化為:
物質波公式註:高中物理競賽所用的《熱學·光學·近代物理》在公式推廣方面有些含糊。《普通物理學》闡述得較好
上面的推導過程可以推廣到所有微觀粒子,
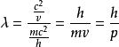
p=γmv
E=γmc^2=hf
按照德布羅意的構想,E/p=c^2/v即是物質波的波速
又物質波頻率為f=γmc^2/h,即得
λ=(c^2/v)/(γmc^2/h)=h/p

