簡介
爪極永磁測速發電機,當轉子被拖動以額定速度旋轉時,其定子繞組將輸出與轉速呈線性關係的交流電勢 該電機在控制系統中常作速度反饋元件。該電機的特點是結構簡單,工作可靠,性能穩定 可適用環境較差的場合,且製造成本低。該類電機的結構和工作原理與傳統式的測速機有較大的區別。
結構簡述
爪極永磁測速發電機爪極永磁測速發電機,一般情況下為分裝式結構。其定子由機殼,2個相同的定子極爪,相對放置,極爪相交錯,圓周間隔均布,如圖所示,中間夾放著一個環形繞組組成。轉子由帶有安裝軸孔的軸套,2個相同的轉子極爪(放置同定子極爪),中間夾著一個空心圓柱狀永磁體組成,如圖所示。
工作原理
爪極永磁測速發電機轉子磁鋼以軸向充磁,由磁鋼的一端N極發出的磁力線,主要路徑如右圖所示(當定、轉子同一端的極爪相對齊狀態)。
當轉子以一恆速旋轉,定、轉子極爪的相對位置將按兩倍於一端轉子極爪數重複周期變化。
爪極永磁測速發電機假設轉子起始位置為:轉子一端的極爪與同端的定子極爪對齊,同時,另一端的定、轉子極爪也對齊。這時磁路的磁導最大,穿過定子線圈平面的磁通量最大。當轉子轉過一個極距時( 電角度),轉子一端的極爪正好與另一端的定子極爪對齊,這時,穿過線圈的磁通量仍是最大,但方向相反。如右圖。
爪極永磁測速發電機
爪極永磁測速發電機當轉子轉過半個極距(電角度)時,轉子極爪正好處在相鄰的兩定子極爪的中間位置,這時穿過線圈平面的磁通最小。顯然,當轉子以角速度旋轉時,穿過線圈平面的磁通按接近正弦規律交變。在定子線圈中將感應電勢。當整個磁路設計不飽和時,盛應電勢幅值將與轉速成線性關係這就是此類電機的工作原理。
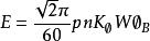
輸出電勢計算
爪極永磁測速發電機在定子繞組中感應電勢,可利用法拉弟定律,推導出下到計算公式:
爪極永磁測速發電機式中
E——感應電勢有效值(V);
p——極對數;
n——轉速(r/min);
W一定子繞組匝數(匝);
爪極永磁測速發電機——氣隙主磁通(Wb)。
爪極永磁測速發電機
爪極永磁測速發電機電機的極對數,也是輸出電勢變化周期數。它取決於轉子的極對數。它等於轉子兩端的極爪數之和的一半。定子繞組為集中繞組,故。要求出E值,必須求出,那就要解整個電機磁場 要精確求解,相當複雜,需用有限元法。但是,在工程上較為實用的方法,是從等效磁路圖入手,求出各部分的磁導,然後,用作圖法求出 。
設計要點
爪極永磁冽速發電機的設計,一般在給定的外形尺寸情況下,要求在額定轉速下,獲得一定的輸出電勢。在設計時,先確定其基本尺寸,選取主要用材,再進行核算輸出電勢。一般設計基本原則如下。
(1)細長比λ
即電機外徑與軸向長之比:
爪極永磁測速發電機λ==5~6
(2)定、轉子外徑比
要使定、轉子結構和磁路分布安排合理,一般取定、轉子外徑比約等於0.5;
(3)極爪數的確定
電機的極對數確定後,一端轉子的極爪數也確定了,即等於極對數。一般定、轉子極爪數相等。
(4)氣隙長度g
考慮使用環境較差.且受製造模具工藝限制,一般 g=0.5~0.8(mm)。
(5)主要材料
選取永久磁鋼一般用鋁鎳鑽5(結晶方向)。
定、轉子機殼,極爪是磁路的一部分,且有磁導性能,具有一定的機械強度。一般採用厚度0.8~1.0mm鋼板,經表面電鍍處理。

