介紹
爆破時,必然產生爆破地震、空氣衝擊波、碎石飛散及有害氣體,因此,爆破設計時必須確定爆破危害範圍,並確定爆點到附近人員、設備、建築物及井巷等的安全,這一段距離就稱為爆破安全距離。我們如何控制好這段距離就顯的尤為重要。
為保證爆破安全,爆破地點與人員或其他應保護對象之間必須保持最短的相隔長度。爆破有害效應隨距離的增加有規律地衰減,用距離作為安全尺度可限定爆破有害效應在允許限度之內。中國《爆破安全規程》規定了爆破地震安全距離,個別飛散物安全距離,以及爆炸衝擊波的安全距離。
地震距離
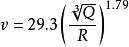
爆破安全距離根據各類建(構)築物的安全振動速度和允許炸藥量確定。安全振動速度是被保護對象受到該速度90%~95%的爆破地震作用不產生任何破壞的振動速度峰值。滿足安全振動速度要求的炸藥量是允許炸藥量。中國建(構)築物的安全振動速度是:民居土窯洞、土坯房、毛石房屋1cm/s,一般磚房、非抗震大型砌塊建築物2~3cm/s,鋼筋混凝土框架房屋5cm/s,水工隧洞10cm/s,交通隧洞15cm/s,礦山圍岩不穩定但有良好支護的巷道10cm/s,圍岩中等穩定有良好支護的巷道20cm/s,圍岩穩定無支護的巷道30cm/s。露天礦山邊坡安全振動速度尚無統一規定,中國一些研究單位提供的數據可供參考;穩定邊坡為35~42cm/s,較穩定邊坡28~35cm/s,欠穩定邊坡22~30cm/s。根據安全振動速度,按下式計算安全距離:
式中R為安全距離,m;Q為允許最大段藥量,kg;v為安全振動速度,cm/s;K和α分別為係數和指數,由測震數據回歸分析求得,預測時可參照表1選取。
在重要建(構)築物附近進行爆破時,需要進行爆破地震效應的專門試驗研究或接受專家指導,以確保全全。當房屋群落中各類房屋的安全振動速度不同時,按照抗震能力較差的來計算安全距離,或進行加固或部分搬遷。當爆源至保護對象的距離小於安全距離,採取降震技術措施,有可能使振動速度不超過安全限值。
個別飛散物
主要根據高速攝影觀測數據和統計資料確定。個別飛散物一般指飛石。中國《爆破安全規程》規定,除拋擲爆破外,露天礦土岩爆破時個別飛散物對人員的安全距離不小於表2中的規定。拋擲爆破時,個別飛散物對人員的安全距離由設計確定,並經總工程師批准。對設備和建築物的飛散物安全距離,由設計確定。每個礦山有經驗的爆破工程師對本礦山的飛石安全距離根據規程的要求, 作出了更加明細的規定。然而影響飛石飛落較遠的偶然性因素很多,個別飛石距離超過安全距離甚遠的可能性是存在的,因此,爆破時雖在安全範圍之內,人員也有必要進入掩體避炮。
表1 中國11個礦山峒室和深孔爆破的K、α值
| 礦山名稱 | 爆破條件和方式 | K | α |
| 德興銅礦 | 千枚岩, 20t加強鬆動峒室爆破 | 158 | 1.93 |
| 德興銅礦 | 千枚岩, 534t加強鬆動峒室爆破 | 82.5 | 1.32 |
| 南尖鐵礦 | 基岩,二段微差鬆動峒室爆破,藥 量3470t和5880t | 76 | 1.39 |
| 南尖鐵礦 | 土層,二段微差鬆動峒室爆破,藥 量3470t和5880t | 206 | 1.81 |
| 峨口鐵礦 | 雲母石英片岩,111~178t加強松 動和鬆動峒室爆破 | 152.7 | 1.56 |
| 廠壩鉛鋅礦 | 結晶灰岩, 二段微差鬆動峒室爆 破, 條形藥包26t和17t | 65.5 | 1.63 |
| 南芬鐵礦 | 鐵礦, 角閃岩,φ310~250mm深 孔微差爆破 | 293 | 1.79 |
| 南芬鐵礦 | 鐵礦, 溜井降段深孔φ310mm微 差井下測震 | 180 | 1.67 |
| 德興銅礦 | 花崗岩,段高15m,φ250mm深孔 微差爆破 | 241 | 2.2 |
| 金川露天礦 | 混合岩, φ200mm深孔單排齊發 爆破露天測點 | 169 | 1.7 |
| 金川露天礦 | 混合岩, φ200mm深孔單排齊發 爆破井下測點 | 70.8 | 1.64 |
| 大冶鐵礦 | 閃長岩,φ250~310mm深孔微差 爆破 | 207 | 1.61 |
| 大孤山鐵礦 | 赤鐵礦、千山岩,φ250mm深孔微 差爆破 | 374 | 1.8 |
| 大連石灰石礦 | 石灰岩、 深孔微差爆破 | 340 | 1.8 |
| 北台露天礦 | 花崗岩、角閃岩,φ200mm深孔微 差爆破 | 300 | 1.92 |
| 山鋁灃水礦 | 砂岩, φ100mm深孔微差爆破 | 355 | 1.87 |
表2 露天土岩爆破(拋擲爆破除外)時,個別飛散物對人員的安全距離
| 爆破類型和方法 | 個別飛石的最小安全距離/m |
| 破碎大塊岩礦 | |
| 裸露藥包爆破法 淺眼爆破法 | 400 300 |
| 淺眼爆破 | 200 (複雜地質條件下或未形成台階 工作面時不小於300) |
| 淺眼藥壺爆破 蛇穴爆破 深孔爆破 深孔藥壺爆破 淺眼眼底擴壺 深孔孔底擴壺 峒室爆破 | 300 300 按設計, 但不小於200 按設計, 但不小於300 50 50 按設計, 但不小於300 |
衝擊波距離
主要根據保護對象允許的超壓和衝擊波傳播規律確定。空氣衝擊波安全距離的計算與爆破衝擊波相同(見爆破衝擊波)。水下爆破時水中衝擊波的安全距離R的計算公式為:
爆破安全距離式中Q為藥量,kg; K為與裝藥方式、保護對象在水中的位置及其允許超壓有關的係數。
在確定爆破安全距離時,應綜合考慮爆破地震,飛石和衝擊波對安全距離的要求。例如,某露天礦深孔爆破最大段藥量為7000kg, 二次破碎採用淺眼破碎法、一次爆破藥量為5kg,規定在下午4時同時起爆,距爆破地點1km處有一村落, 280m處山坡上有山上調度室。對人員和建築物的爆破安全性作出評價。首先核定飛石和爆破地震安全距離,對於露天礦,能滿足飛石和地震安全距離的要求, 空氣衝擊波安全距離也就有了保證。由表2查得,對於人員,飛石的安全距離為:淺眼爆破時不小於300m; 深孔爆破時不小於200m; 淺眼爆破的震動很小, 只須校核深孔爆破地震對建築物的影響。由表1查得,民居房屋安全振動速度為1cm/s;調度室為一般磚瓦結構,其安全振動速度為3cm/s。該礦山實測數據回歸所得的振動速度計算公式為:
爆破安全距離按實際距離和藥量算得民居房屋處的振動速度 v=0.25cm/s,調度室處v=2. 4cm/s。由於民房和調度室房屋的實際振動速度均小於各自的安全振動速度, 是安全的。村落在飛石的安全距離以外,居民人身是安全的。調度室處飛石安全距離不合要求,爆破時調度室內人員應進入掩體避炮。采場內可移動設備要撤離到爆區後方或側方100m以遠處避炮。

