熱沉降脫水
原油熱沉降脫水法是使用最早、套用最廣泛的脫水方法。 目前,它多被用作其它脫水方法的輔助手段。特別在處理“三高原油”時,更是如此。
熱沉降脫水的原理
原油乳狀液雖因乳化劑的存在而趨於穩定,但它仍是熱力學不穩定體系。只要設法降低或削弱油水界面膜的強度,增加水滴的碰撞機會,增大油水比重差,降低外相的粘度等,即可破壞其穩定性。加熱是破壞原油乳狀液穩定的方法之一。其作用是:
1. 削弱油水界面膜的強度
原油中的主要乳化劑是瀝青、膠質、石蠟等。隨著溫度的升高,這些物質在油中的溶解度增大,使其親油性能大大增加,幾乎全部溶解於油中,從而脫離油水界面,達到降低水滴保護膜機械強度的目的。
溫度低時,高分子的石蠟要發生結晶,結晶的石蠟晶體吸附在油水界面膜上,增加了界面膜的機械強度、原油溫度的提高,避免了石蠟的結晶,消除了這一脫水過程的不利因素。
隨著溫度的升高,水滴的體積將發生膨脹,使油水界面膜受到脹力的作用,這將降低界面膜的機械強度。在水滴膨脹時,界面膜容易破裂,有利於水滴的合併。
溫度的提高,向系統輸入了能量,使分子的布朗運動加劇,增加了水滴間的碰撞次數和碰撞力,從而加速了油水界面膜的破壞。
2. 增大油水比重差
實踐證明,在溫度為0~50。C℃的範圍內,原油和水的膨脹係數是不同的,原油的比重隨溫度的變化要比水變化的快。因而,加熱增大了油水的比重差。計算表明,在同樣溫升的情況下,油水比重差的變化可增加20%。
在液滴的沉降過程中,液滴的沉降速度與油水的比重差成正比。加熱增加了油水比重差,也就加快了水滴的沉降速度。
3. 降低原油的粘度
原油粘度隨溫度的升高而降低,特別是乳化原油的粘度隨溫度的變化更明顯,其變化規律可由下圖的曲線上看出:原油含水量越高,粘度隨溫度的變化越大,在較低的溫度範圍內,曲線變化較陡,粘度變化較快;而溫度較高時,曲線變化則較為平緩,粘度變化的幅度下降。
不同含水的原油粘度與溫度的關係曲線原油粘度的降低,減少了水滴在沉降過程中的 摩擦阻力,加快了水滴在原油中的沉降速度。
4. 有利於破乳劑分散到油水界面上去,進一步提高化學破乳劑的作用效果。
由上所述,加熱有利於原油乳狀液的油水分離。單從破乳角度來說,加熱溫度越高,越有利於原油破乳脫水。但溫度太高,不僅要耗費大量的燃料,而且會造成原油輕質餾分的蒸發損耗。同時,從比重差和粘度的變化規律來看,溫度過高,效果並不明顯。因此,原油脫水溫度一般控制在80~160℃範圍內,而油田生產實踐中大多控制在60~110℃。
加熱的方法很多,但歸納起來可分為直接加熱和間接加熱兩大類。
直接加熱的加熱設備,可用加熱爐,火筒爐等。這種加熱方法的優點是效率高、熱流密度大、溫升幅度大,但易產生局部過熱,在局部過熱處會發生結焦,從而降低傳熱效果,縮短設備壽命。加熱爐不宜用於間歇操作及液體流量變化較大的場合。
聞接加熱的加熱設備,可用換熱器、水套爐等·這種加熱力。這種加熱方式的優點是溫度分布均勻,不會產生局部過熱、結焦。但由於中間介質的存在,使得效率較低,加熱量不能太大。
熱沉降分離的規律
熱沉降分離是原油脫水最基礎的過程。原油脫水所有工藝參數的制定,都以有利於熱沉降分離為標準沉降分離是指脫除以游離狀態存在的水和破乳後的水。
在熱沉降分離的分析中,都引用斯托克斯定律。這不僅是因為該定律深刻地描述了熱沉降分離的基本規律,而且在生產上也有重要的指導意義。該定律的數學表達式為
ω=d(ρ-ρ)g/18νρ
式中 ω——水滴的沉降速度,m/s;
d——水滴的直徑,m;
ν——操作溫度下外相油的粘度,m/s
ρ——操作溫度下水的密度,kg/m;
ρ——操作溫度下油的密度,kg/m;
g——重力加速度,m/s。
由上式可見,熱沉降速度與原油中水滴直徑的平方成正比,與油,水的密度差成正比,與外相原油的粘度成反比。根據斯托克斯公式,定性分析我國各油田原油脫水的難易程度以及與生產的實際情況相比較是基本相符的。例如,從斯托克斯公式分析原油的加熱沉降脫水原理是十分明顯的。又如一些粘度小、密度小的原油脫水就比重質、高粘原油脫水容易得多。但是直接定量地利用斯托克斯公式計算水滴的沉降速度會產生較大的偏差。因為該公式並沒有包含乳狀液穩定的因素,更沒有體現乳化劑的影響。
熱沉降設備
加熱沉降脫水的主要設備是沉降罐,沉降罐的形式有許多種,但歸納起來可分為立式和臥式兩種。下面介紹臥式的。
目前各油田所用的沉降罐,大多採用具有水封裝置的沉降罐,這種沉降罐可自動調節油水界面,以保持沉降脫水的平衡和穩定。臥式沉降罐在油田被廣泛採用。其結構如圖所示。
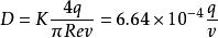
臥式沉降罐臥式沉降罐的工藝設計,一般只設計其工藝尺寸——直徑與長度。對於粘性流體,在沉降罐內一般要求保持層流狀態。取其極限狀態,即雷諾教Re=2300,則可由下式計算臥式沉降罐的直徑:
熱沉降式中 D——臥式沉降罐直徑,m;
q——通過沉降罐的含水油流量,m/s;
v——操作溫度下乳狀液的粘度,m/s;
K——安全係數,取K=1.2。
臥式沉降罐的長度可由下式確定:
熱沉降式中 ω——水滴的沉降速度,m/s:
K*——安全係數,取K*=1.25。
對原油乳狀液加熱,只是為原油破乳脫水創造了良好的條件,但是,單靠加熱,並不能達到安全破乳的目的。即使是穩定性較差的原油乳狀液,熱沉降脫水的效果和效率都不會很高,而且能源消耗大。處理時間長,故目前這種脫水方法很少單獨使用。
熱沉降計數器
熱沉降計數器這種方法主要用來檢測大氣中的凍結冰核。該裝置的熱看板是一片導電玻璃片,冷板是一片貼在導電玻璃上的鍍銠銅片,置於用乾冰冷卻的銅塊上。熱板與冷板間隙很小,只有0.2 毫米左右。檢測時,先使熱板保持約 100℃的溫度,冷板維持比樣氣露點稍高一點的溫度。用抽氣的方法使約一升的樣氣通過小間附,由於兩板之間極大的溫度梯度,使樣氣板維持比樣氣露點稍高一點的溫度。用抽氣的方法使約一升的樣氣通過小間隙,由於兩板之間極大的溫度梯度,使樣氣中的全部質點留在冷板上。然後關斷熱板電源,使冷板逐漸降溫,達到樣氣露點時,再補充凝結微滴,繼續降溫至冰晶出現為止,然後用顯微鏡或糖液法計數(見圖)
