背景
地殼運動的形式非常複雜,所產生的效應多種多樣,其中伴隨地殼隆起、拗陷、斷裂活動和其他構造變形產生的地面沉降現象都屬於構造沉降。構造沉降速率因時因地而異。相對非構造沉降活動而言,其沉降範圍或區域比較大,沉降速率一般比較小。構造沉降活動不為人類活動控制,而且大部分地區的構造沉降在漫長的地質時期中持續進行,所以認識構造沉降活動規律,分析構造沉降活動對地面沉降災害的影響,是研究和防治地面沉降災害的重要內容。
簡介
沉積盆地作為大地構造當中的一級大地構造單元,對於地球的構造演化過程的研究具有重要意義。同時,由於盆地內部含有豐富的油氣、煤炭、礦產等資源,受到地質學家們的廣泛關注。近年來,由於盆山系統耦合的研究,使單一的造山帶和單一的盆地研究成為一個系統。通過盆地的研究分析,包括盆地所在區域及內部的構造、沉積層序、地層格架及演化史的分析,為造山帶的研究提供一個新的方向。沉積盆地的研究成為一個焦點問題。
構造沉降是指由於地殼垂直運動,使順重力方向、高程降低的方向運動。地殼的沉降作用是形成盆地的直接原因,沒有沉降就沒有盆地。而盆地沉降史研究,就是將盆地在各個時期沉降的量進行求解,編繪反映盆地沉降特徵的地層埋藏史曲線、盆地基底沉降曲線以及盆地構造沉降曲線等途徑來表述。因此,分析構造沉降史是研究盆地形成、演化的重要內容,是整個盆地系統研究中最為基礎的環節,對於整個盆地的構造、熱歷史及演化等起著至關重要的作用。
分析構造沉降,一般可用沉降量和沉降速率兩個參數。沉降量(或沉降幅度)是最直觀、最簡便的表示方法,表示某地質時期一個地區的累計的沉降幅度的大小。沉降速率是盆地某一構造面在單位地質時期內相對於某一基準參照面(海平面或湖平面)下降的幅度,它能反映盆地構造動力學的某些信息。通常可以用圖示方法直觀地反映觀測點的沉降量和沉降速率。
在構造沉降史分析中,有一個非常重要的概念——均衡代償理論。它是盆地分析的基礎,用來描述地殼的狀態和運動。自十八世紀提出以來,便受到廣泛關注。經過大地測量學與力學等學科的發展,逐漸形成今天的均衡代償理論。它闡明的是地殼的各個地塊趨向於靜力平衡的原理,即在大地水準面以下某一深度處常有相等的壓力,大地水準面之上山脈(或海洋)的質量過剩(或不足)由大地水準面之下的質量不足(或過剩)來補償。運用地殼均衡學說可以研究地球內部構造,如上地幔的起伏;還可用於大地測量學中研究大地水準面形狀,推估重力異常和計算垂線偏差等。
機制
引起構造發生沉降的原因可以歸納為構造原因和非構造原因。構造作用引起地表形成盆地,這屬於構造沉降。充填於盆地中的沉積物的負荷進一步促使盆地下沉,這一部分沉降則屬負荷沉降。構造沉降加上負荷沉降,構成總沉降。在盆地分析當中,總沉降與構造沉降是盆地沉降分析中非常重要的部分。
目前,對於構造沉降發生的機制,主要歸結於三個方面:局部均衡,它是均衡代償理論的一種運用,在大地水準面以下某一深度處常有相等的壓力;撓曲均衡。撓曲均衡其實是對局部均衡的一種精確。
在局部均衡里,地球的各個板塊之間沒有相互作用的存在,各個板塊相互獨立。但是,實際上岩石圈是具有彈性的,各個板塊之間以及板塊內部都會存在著作用力。當負載壓在岩石圈上,板塊會像彈性梁一樣彎曲,受到周圍岩石圈的作用力。根據阿基米德原理,重力會與地幔岩石圈的浮力及岩石圈內部的作用力達成平衡,從而使整個區域形成撓曲沉降;熱沉降指當地球的均衡效應被打破的時候,內部的熱量會發生改變。由於溫度的變化,導緻密度的變化,通常是溫度越高岩石的密度越低。密度的變化導致整個柱子重力的變化,從而產生相應的熱沉降。
求解方程
在求解構造沉降過程中,主要有兩種模型,一個是局部均衡,一個是撓曲均衡模型。前者已有很多論述,下面主要對後者進行一些探討。
在實際的情況中,岩石圈具有一定的剛度,所以在承受負載的情況下岩石圈會像一個彈性的梁一樣發生彎曲。這種彎曲會對周圍的岩石圈層產生剪下力與黏滯力,從而阻止由於負載導致的沉降。所以,撓曲均衡模型下的沉降應該小於局部均衡模型下的沉降量。
1、岩石圈撓曲方程
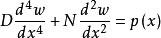
由於岩石圈的剛度存在,導致負荷沉降量的減小,說明剛度與沉降之間存在一定的聯繫。根據彈塑性力學,彈性梁在受到負載作用之後會發生撓曲,撓曲量的求解符合一般撓曲方程。
在負載作用下,彈性梁發生撓曲。取一個微小部分,分析應力狀態。受到向下的單位面積負載 q(x)的作用,左右端元撓曲差異為 dw,並且在兩端分別存在剪下力V 與水平力 P,力矩為M。根據力和力矩的平衡,以及力矩與撓曲量 w 之間的關係代換,得到彈性梁的一般撓曲方程:
構造沉降由於岩石圈剛性的存在,在負載作用下複合彈性梁的撓曲特性,因此可以通過撓曲方程來求解由於沉積物負載而導致的撓曲沉降 w。只不過在運用的時候,需要將一般撓曲方程進行修改。並且岩石圈必須滿足四個基本的假設前提。
第一,岩石圈具有流塑性,並且這種流塑性隨著深度的增加而呈線性變化;
第二,撓曲量相對較小;
構造沉降第三,彈性岩石圈的厚度遠小於受到負載而產生撓曲的板塊長度;
第四,板塊內部的平面在撓曲之後仍然保持為平面。
2、撓曲模型下的構造沉降
在利用彈塑性力學解決岩石圈撓曲沉降之後,就可以將這樣一種撓曲均衡模型套用於構造沉降的求解當中,和局部均衡一樣,仍然使用回剝法。
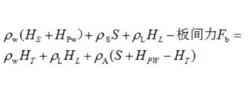
現今負載下,沉積物的總厚度即總沉降為S,海平面相對於沉降初期變化△Hs ,當時的古水深為HP ,地殼的厚度為H 。回剝後,盆地初期的構造沉降為H 。選取現今地層岩石圈底部為均衡代償面,在此面之上受到的浮力相等。與局部均衡相比,撓曲均衡中,由於周圍岩石圈的抗撓對該部分岩石圈具有向上的作用力,所以根據重力均衡,有如下等式:
構造沉降該式中存在一個未知的力板間力 F,它是由於岩石圈撓曲對該部分剪下力與黏滯力的總和。
意義
構造沉降構造沉降對研究盆地演化有重要的意義。構造作用是控制地層構成樣式的重要因素,它與全球海平面變化、氣候和沉積物供給量(或沉積速率)等因素一起影響著可容納空間的變化。研究表明,構造作用的影響延續的時間較長,構造沉降作用具有旋迴性;同時在盆地的不同部位具有差異性。在一些盆地演化過程中,構造作用往往是控制層序地層構成樣式的主要因素,尤其是對於陸相盆地來說,構造作用被認為是形成陸相層序的一種主控因素,甚至是其形成的最主要的控制因素。
右圖代表中等沉積物供給速率下的可容納空間和沉積物的堆積作用。其中,在大陸邊緣盆地可容納空間的變化等效於相對海平面的變化。而在陸相盆地可容納空間的變化,儘管可能受周期性湖平面變化的影響,但更主要是受控於構造沉降。顯然,構造作用和海平面是控制層序形成和演化的關鍵因素。
構造運動對可容納空間的增加與減小的影響最大,該因素與氣候條件一起控制了可容納空間內沉積物的類型和數量。構造運動造成的地層特徵由多種作用產生,對於可容納空間產生最深遠的影響。構造作用對沉積記錄的影響可分為三個不同級別:①抬升和盆地演變;②沉降速率變化;③褶皺、斷層、岩漿活動和底劈作用。
總結
構造沉降分析是盆地研究中重要的一支,為盆地的形成、演化等研究提供了基礎的理論與資料。在盆地沉降分析中,存在兩類重要的沉降:總沉降和構造沉降。總沉降是指盆地的基底距離水平面的距離,也稱為基底沉降。它是盆地在各個時期沉積的地層厚度的總和。在總沉降求解過程中,由於地層埋藏作用、海平面的升降等原因,需要對它分別進行去壓實和海平面變化校正。另外,由於沉積時期古水深的可能存在,要對最後的沉降進行古水深校正。盆地的總沉降公式。
構造沉降是把由於沉積物負載導致的沉降和海平面變化影響移除之後,根據均衡代償所分離出的沉降。它是由初始動力導致的沉降,這種初始動力可能包括熱對流,地殼物質的流動以及深部的地殼變質等。在進行構造沉降的推導中,由於沉降機制不同,分為局部均衡模型和撓曲均衡模型。
局部均衡模型和撓曲均衡模型的選擇應根據對岩石圈撓曲性質的要求程度。一般來說,在撓曲機制控制的海溝和與造山帶連線的前陸盆地區域,撓曲均衡模型較為準確。在伸展類型的盆地中,局部均衡模型更為適用。在當板塊長度 L 與α相比非常小的情況下,兩種模型所得的沉降量差別很小。

