黏結性
煤的粘結性是煤乾餾時形成膠質體所顯示的一種特性,是結焦的必要條件,與煤的結焦性密切相關。在煙煤乾餾時,顯示軟化、熔融的煤叫粘結性煤。以肥煤的粘結性最強。貧煤和不粘煤等在乾餾時不能軟化、熔融而形成膠質體,為非粘結性煤。
測定方法
最早和最簡單測定煤的粘結性的方法是觀察測定揮發分產率後所得焦渣的特徵,它反映了煤在加熱後本身互相粘結的能力,對不同焦渣特徵給出定性描述並從1~8給以編號,以表明煤的不同粘結性。比它區分能力更大一些的有首先由美國提出的坩堝膨脹序數。但各國測定煤的粘結性方法,尚不完全一致。中國在波蘭提出的羅加指數測定方法的基礎上,經進一步加以改善後,於80年代提出了煙煤粘結指數測定方法(GB5447),並將該方法推薦給了國際標準化組織(ISO)。國外還有用測定煤的結焦性和塑性體形狀而間接反映煤的粘結性的方法,如用煙煤膠質層最大厚度Y值(mm)來判斷煤的結焦性;用奧阿膨脹度b值(%)和收縮度a值(%)等參數表明煙煤膨脹性(煤在乾餾時體積發生膨脹或收縮的性能)和塑性(煤在乾餾時形成膠質體的粘稠、流動、透氣等性能);用吉澤勒流動度來表示煤的塑性等。
粘結指數
又稱G指數。以在規定條件下煙煤加熱後粘結專用無煙煤的能力表征的煙煤粘結性指標。其實質是煤在隔絕空氣受熱後,煤顆粒之間和煤與惰性添加物顆粒間結合牢固程度的一種度量,它是各種物理和熱化學變化過程的最終結果。根據煤樣粘結指數的大小,可以大致確定該煤的主要用途,是適於煉焦、還是氣化或其它加工工藝等。中國煤炭分類(GB5751) 中,將粘結指數作為表征粘結性的主要指標,即煙煤分類的主要技術參數。其測定方法要點是:將一定質量的煤樣和專用標準無煙煤,按1+5的比例在規定條件下混合,快速加熱成焦,所得焦塊在一定規格的轉鼓(羅加轉鼓)內進行強度檢驗,以焦塊的抗磨強度大小來表示煤的粘結能力,實驗結果以符號GR.I.表示。粘結指數G計算公式如下:
煤粘結性 式中m為煤樣焦化處理後焦渣總量,g;m為第一次轉鼓試驗後,篩上部分的質量,g;m為第二次轉鼓試驗後,篩上部分的質量,g;如G小於18,則需再按煤樣與無煙煤以3+3的比例進行試驗。
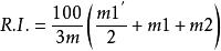
羅加指數
(R.I.) 由波蘭B.Roga提出的,測定煙煤受熱後粘結無煙煤的粘結力表征的煙煤粘結性指標。羅加指數高的煤,其粘結性好,可以根據羅加指數的大小來判斷煙煤粘結能力的大小。國際硬煤分類中用它作為確定粘結性強弱的一項指標,我國也將此方法定為國家標準方法 (GB5449)。其測定方法要點是:將一定質量的煤樣與5倍質量的惰性物(專用無煙煤)按規定條件混合均勻後,在隔絕空氣下快速加熱成焦,將得到的焦炭在特定的轉鼓中進行轉鼓試驗,測定其耐磨強度,以羅加指數(R. I.)表示,計算公式如下:
煤粘結性 式中m為煤樣焦化後得焦炭的總質量,g;m′為第一次轉鼓試驗前篩上部分的質量,g;m1為第一次轉鼓試驗後篩上部分的質量,g;m為第二次轉鼓試驗後篩上部分的質量,g。
奧-阿膨脹度
膨脹度(Dilatometer)試驗方法最早是由法國Audibert提出的,後由Arnu作了改進,故稱之為奧-阿膨脹度試驗。該方法是直接測定煙煤粘結性的一種重要方法,在區分中等以上粘結性煤,特別是強粘結性煤方面,具有其它指標無法比擬的優點。以膨脹度b值(%)和收縮度a值(%)表征煙煤的粘結和結焦能力,不僅能反映膠質體的量,還能表征膠質體的質。奧阿膨脹度試驗已被列為國際硬煤分類的重要指標,中國煤炭分類(GB5751)將其列為輔助指標。其測定方法要點是: 將煤樣按規定方法製成一定規格的煤筆,放在一根標準口徑的膨脹管內,其上放置膨脹桿。然後將裝有煤筆的膨脹管放入專用電爐內,以規定的升溫速度進行加熱,記錄膨脹桿的位移曲線。以膨脹桿上升的最大距離占煤筆原始長度的百分數表示煤樣最大膨脹度b值,以膨脹桿下降的最大距離占煤筆原始長度的百分數表示煤樣最大收縮度a值。
膠質層最大厚度
煙煤膠質層指數測定中利用探針測出的膠質體上、下層面差的最大值。代表符號Y。
膠質層指數(Plastometer index)由薩波日尼科夫提出的一種表征煙煤結焦性的指標。以膠質層最大厚度Y值、最低收縮度X值等表示。測定是模擬工業焦爐的炭化室,通過對特製煤杯中的煤樣進行單側加熱,使其形成一系列的等溫層面。各層面溫度由加熱端開始依次遞降,並使煤杯中煤樣相應形成半焦層、膠質層和未軟化的煤樣層3個部分。測出膠質體的最大厚度Y值 (mm),用以表示煤的結焦性; 在試驗終了時測得收縮度X值(mm),用以表示半焦收縮的程度。由於膠質層最大厚度Y值直接反映了煤的膠質體的特性和數量,是評價煤的結焦性好壞的一個標誌,它被列為中國煤炭分類(GB5751)的一項工藝性指標。此外,利用Y值可以指導配煤煉焦。其測定方法要點是:將一定質量和規定粒度的煤樣裝入一定規格的煤杯中,按規定的速度單側加熱煤杯,並記錄膠質體上部層面位置隨溫度體積變化的曲線,即膠質層體積曲線。利用金屬探針測量膠質體的最大厚度Y值(mm),以膠質層上、下部層面曲線間沿縱坐標方向的最大距離作為膠質層最大厚度; 以試驗結束時體積曲線終點與零點線間的距離作為最終收縮度X值。
坩堝膨脹序數
曾稱自由膨脹序數。在規定條件下,以煤在坩堝中加熱所得焦塊膨脹程度的序號表征煤的膨脹性和粘結性的指標。它主要取決於煤在受熱過程中的熔融情況、膠質期間的析氣情況和膠質體的不透氣性,在一定程度上能反映煤的粘結性。國際硬煤分類中被選用為分類指標之一,在煉焦工業中用它來評價煤的結焦特性,在動力用煤中用它來表征煤在各種燃燒設備中的結焦傾向。其測定方法測定要點是:將一定質量的煤樣放在專用的坩堝中,在專用爐內按規定的方法(電爐或煤氣)加熱。加熱過程中,煤被快速乾餾分解而生成不同形狀和大小的焦塊,將所得焦塊的最大側型與一組帶序號的標準側型圖比較,從而定出相應的序號,其表達的序數是0~9,以每1/2為一個間隔。
格一金乾餾試驗
又稱管式低溫乾餾試驗。由英國Gray和King兩人提出的一種低溫乾餾試驗方法,用以測定煤炭熱解產物產率和焦型。它是一個多指標的綜合性試驗,既可以得到表征煤炭結焦性的低溫乾餾焦型 (A、B、C……Gx) 又可以了解煤炭熱分解產物的產率,如可得到半焦產率 (CR)、焦油產率(Ta)和總水產率。其測定方法要點是:將一定量的煤樣放在玻璃或石英乾餾管中,然後送入乾餾爐內,以規定的速度隔絕空氣加熱。煤經乾燥、軟化、熱分解後生成膠質體,並放出揮發物(煤氣、焦油、水蒸氣等),最終形成半焦。收集試驗過程中生成的焦油和水,根據各種產物的質量求得半焦、熱解水和焦油的產率,並將焦炭與一組標準焦型比較定出型號。
吉澤勒流動度
又稱吉氏流動度,曾稱基斯勒流動度。由Gieseler提出的以測定煤的最大流動度和特徵溫度表征煙煤塑性的指標。吉氏法利用固定力矩帶動插入煤樣中一個可轉動的攪拌器,當煤樣在隔絕空氣的條件下受熱產生膠質體時,隨著膠質體的流變性的變化,對攪拌器施加不同的阻力,使攪拌器的轉動速度發生相應的變化。由此可測出煤在加熱條件下的多種特性指標: 開始軟化溫度 (T)、最大流動溫度(T)、固化溫度(T)、膠質體溫度間隔(T—T)和膠質體最大流動度 (α),這些指標在研究煤的流變性、熱分解動力學和指導配煤煉焦中都有著重要作用。使用吉氏法測定煤的塑性在美國、日本、波蘭等國家及ISO已建立起標準方法。其測定方法要點如下:將一定規格、質量的煤樣裝入吉氏管中,在隔絕空氣條件下加熱。插入煤樣中的攪拌器隨著煤樣受熱產生的膠質體流變性的變化,其轉動速度也發生變化,記錄其指針的位置。以指針轉動到1℃時所對應的溫度作為開始軟化溫度Tp;以指針最大轉動角速度所對應的溫度作為最大流動溫度T; 以指針開始停止轉動時所對應的溫度作為固化溫度T; 以 (T-T)作為膠質體的溫度間隔; 以指針最大的轉動角速度作為最大流動度αmax。一般以肥煤的流動度最大。

