設備分類
煤氣鼓風機是焦化廠焦爐煤氣輸送、淨化系統的核心設備 , 一旦停機不但會影響焦爐及化產各工序的正常生產, 而且會造成全公司煤氣無法平衡,影響到燒結、煉鐵煉鋼系統的正常運行,因此十分重要。
焦爐煤氣鼓風機有容積式和離心式兩種 。
容積式鼓風機
容積式煤氣鼓風機利用轉子轉動時的容積變化來吸入和排出煤氣,常用的有羅茨鼓風機和葉式鼓風機兩種,均用電動機驅動。羅茨鼓風機機殼內有兩個“8”字形空心轉子,通過一對同步齒輪做反向旋轉。兩個轉子之間以及轉子與機殼內壁之間保持微小間隙,使吸入側與排出側隔絕,隨著轉子的旋轉,將煤氣由吸入側推向壓出側。羅茨鼓風機流量不大,壓頭較高,在小型焦化廠仍被採用;葉式鼓風機則已很少採用。
離心式鼓風機
離心式鼓風機又稱透平式鼓風機,是焦化廠最普遍套用的鼓風機, 由汽輪機或電動機驅動。鼓風機由固定的機殼和在機殼內高速旋轉的轉子組成。
轉子上有一個至數個工作翼輪;工作翼輪由兩個平行的圓盤構成,圓盤之間用固定葉片連線。煤氣由吸入管導入第一個工作翼輪的中心, 並隨高速旋轉的翼輪做高速運動, 並因離心力作用沿翼輪的葉片向周邊擴散,進入翼輪邊緣與殼體之間的空間。
離心式煤氣鼓風機此時,煤氣速度減慢,體積膨脹並產生壓力。由於壓力的作用,煤氣順著固定在殼體上的固定葉片返回到第二個工作翼輪的中心, 重複上述過程。如此, 煤氣依次進入各個翼輪,壓力逐漸增大, 由最末一個翼輪邊緣排出機外, 沿壓出管送出。
大型離心式鼓風機轉速在5000r/min以上,用電動機驅動時, 需設增速器以提高轉速。
選型
主要按輸送能力、總壓頭和軸功率選定,並作絕熱壓縮過程的溫度計算。
輸送能力按焦爐的煤氣產量確定。在核定煤氣產量時,要考慮到焦爐生產潛力的發揮和裝爐煤質量的變化, 並將煤氣產量換算為鼓風機工作狀態下的煤氣實際體積。
鼓風機總壓頭,要大於煤氣系統的阻力和煤氣送往用戶所需的剩餘壓力之和。鼓風機前負壓通常為5000Pa,鼓風機後的正壓通常為20000~25000Pa,總壓頭為25000~30000Pa。
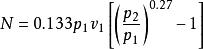
軸功率習慣上由輸送煤氣量和壓力來估算, 即:
煤氣鼓風機
煤氣鼓風機
煤氣鼓風機
煤氣鼓風機式中N為軸功率,kW; 為鼓風機進口煤氣絕對壓力,kPa; 為鼓風機出口煤氣絕對壓力,kPa; 為鼓風機入口煤氣實際體積,m/h。實際配用的驅動功率大於軸功率。當用汽輪機驅動時,驅動功率要大15%;當用電動機驅動時, 驅動功率要大25~30%。
絕熱壓縮過程的溫度是在假定煤氣被鼓風機壓縮時與外界沒有熱交換的情況下計算的, 即:
煤氣鼓風機
煤氣鼓風機
煤氣鼓風機
煤氣鼓風機
煤氣鼓風機式中 為鼓風機出口的煤氣溫度,K; 為鼓風機入口的煤氣溫度,K; 為鼓風機出口煤氣絕對壓力,kPa; 為鼓風機入口煤氣絕對壓力, kPa。
煤氣鼓風機煤氣離開鼓風機的實際溫度低於 , 因為鼓風機表面有熱量散失。
調節
當鼓風機改變工況運行時, 要用調節的手段維持其穩定運行。
常用的調節方法有:
煤氣鼓風機(1)改變轉速。當改變轉速時,流量與性能曲線相應改變。此法調節範圍寬, 經濟性好, 是離心式鼓風機最佳調節手段, 適用於汽輪機和變速電動機驅動的鼓風機。
(2)進口節流。調節鼓風機吸入口的閥門開度,調節方法簡單,適用於固定轉速機組的調節。
(3)出口節流。調節鼓風機出口的閥門開度, 調節方法簡單, 但經濟性差, 適用於小功率機組的調節。
(4)交通管調節。當煤氣流量減少時, 調節交通管的閥門關閉度, 使一部分出口煤氣返回吸入口,以維持鼓風機的正常運行。交通管調節有大循環和小循環兩種方式。出口煤氣返回鼓風機吸入口的稱小循環; 出口煤氣返回焦爐煤氣初冷器前煤氣管的稱大循環,適用於開工初期或低流量時的調節。為了擴大離心式鼓風機的穩定工況範圍, 上述調節方法可聯合使用。
同種型號的鼓風機,當風機進口狀態(氣體成分、進口溫度、進口壓力)變化後,風機所產生的升壓,將有所變化,用戶可根據實際工況需要選擇相匹配的鼓風機。
常見故障
轉子故障
(1)轉子不平衡
轉子不平衡是風機最常見的故障。風機的製造安裝誤差、轉子和葉片的腐蝕、磨損、結垢以及零部件的鬆動等因素,使風機轉子中心慣性力偏離其旋轉軸線,在運動系統中引起多餘的附加動壓力,並傳到風機轉子的支承軸承上。這些大小和方向有著周期性變化的慣性力破壞了風機轉子的平衡,使風機產生振動和噪音,同時還加速了軸承和軸承密封零件的損壞 。
(2)轉子不對中
不對中通常是指轉子的軸心線與軸承中心線傾斜或偏移的程度。造成不對中的原因主要是軸承座的標高和左右位置不一致以及聯軸器安裝偏心。根據理論分析和實踐經驗,診斷不對中故障的主要依據是在振動頻譜中2倍頻分量的大小,振動與負荷的關係,軸向振動的大小以及軸承座兩側振動的大小等。
軸承故障
軸承溫度過高:
在風機高速運轉時,安裝軸承的部位允許有一定的溫度,應以不高於80~C為正常,反之則表明軸
承溫度過高。軸承溫度過高的原因有:一是軸承裝配質量不高。軸承與軸承盒頂部間隙過緊或軸向間隙過緊都是影響溫度升高的主要原因。
二是風機軸承一般採用乾油潤滑,在生產中因為潤滑不良造成的軸承損壞也十分頻繁。軸承損壞主要由加油過多、加油過少、潤滑油變質、油腔進入雜質等原因造成。葉輪故障
葉輪結垢
風機在運轉過程中,抽出的煙氣中含有大量的粉塵和強鹼微粒,煙氣溫度在250℃ 左右。當煙氣遇到水分或冷空氣時便粘附在葉片上,日積月累,葉輪葉片上嚴重的粘灰和結垢使葉輪失去平衡,機體振動幅度最大時為0.8ram經常需要停車進行人工除垢。
經過長時間地觀察和探索,發現引起頻繁粘灰和結垢的原因是:
料漿的溫度很高,煙道負壓低,煙道中漏風處太多。外界水分及冷空氣從泄漏點進人煙道中,從而使固體顆粒凝結在葉片上。主要的漏風點常發生在軸與機殼之間的密封處、機殼上法蘭連線處以及煙道中有磨漏點等。

