簡介
幾種無線通信標準比較無線通信是利用電磁波信號可以在自由空間中傳播的特性進行信息交換的一種通信方式,近些年信息通信領域中,發展最快、套用最廣的就是無線通信技術。在移動中實現的無線通信又通稱為移動通信,人們把二者合稱為無線移動通信。技術標準從七十年代,人們就開始了無線網的研究。在整個八十年代,伴隨著以太區域網路的迅猛發展,以具有不用架線、靈活性強等優點的無線網以己之長補"有線"所短,也贏得了特定市場的認可,但也正是因為當時的無線網是作為有線乙太網的一種補充,遵循了IEEE802.3標準,使直接架構於802.3上的無線網產品存在著易受其他微波噪聲干擾,性能不穩定,傳輸速率低且不易升級等弱點,不同廠商的產品相互也不兼容,這一切都限制了無線網的進一步套用。這樣,制定一個有利於無線網自身發展的標準就提上了議事日程。到1997年6月,IEEE終於通過了802.11標準。802.11標準是IEEE制定的無線區域網路標準,主要是對網路的物理層(PH)和媒質訪問控制層(MAC)進行了規定,其中對MAC層的規定是重點。各廠商的產品在同一物理層上可以互操作,邏輯鏈路控制層(LLC)是一致的,即MAC層以下對網路套用是透明的(如圖一所示)。這樣就使得無線網的兩種主要用途----"(同網段內)多點接入"和"多網段互連",易於質優價廉地實現。對套用來說,更重要的是,某種程度上的"兼容"就意味著競爭開始出現;而在IT這個行業,"兼容",就意味著"十倍速時代"降臨了。在MAC層以下,802.11規定了三種傳送及接收技術:擴頻(SpreadSpectrum)技術;紅外(Infared)技術;窄帶(Narrowband)技術。而擴頻又分為直接序列(DirectSequence,DS)擴頻技術(簡稱直擴),和跳頻(FrequencyHopping,FH)擴頻技術。直序擴頻技術,通常又會結合碼分多址CDMA技術。
第三代無線通信標準時間
表2 給出了IEEE 802.20標準與其他移動無線通信技術的比較。網際網路包含一切
我們正在進入第三代無線通信階段。或者說“網際網路包含一切”的階段,這個階段用無線感測器和控制技術來連線人類世界與虛擬電子世界。感測器和控制網路不能增進人們的交流,取而代之的是,它們允許感測器和操作者互動,創建一個更加動態的世界,從而避免人為的錯誤並降低人力成本。超低功耗無線感測器網路可以為很多套用帶來好處。這包括監視溫度、振動、濕度、位置、液位高度等,在工廠中,可以將它們連線到HAVC系統、存儲系統、機器人系統,或溫度控制系統等的控制和執行機構。這樣的例子很多。對於農業套用,可以通過無線感測器網路採集溫度感測器和土壤濕度感測器的信息來監視農田、葡萄園、溫室,並自動調整灌溉和施肥。對於許多現實套用,低功耗無線感測網路具有許多優點,包括無須使用線纜、增加了在空間受限或危險區域套用的靈活性、易於安裝、增加了安全性,而且降低了維護成本。然而,無線感測器的發展完全依賴工業標準開發的進度。
工業標準促進了無線套用的發展
無線通信在工業標準的推進下得到了很大的發展。標準為OEM和集成商提供了選擇的靈活性,允許不同供應商的設備可以互操作,這在所有套用中是最重要的。與大多數無線網路相比,感測器網路的需求是截然不同的,功率消耗指標就是最明顯的差別。對於無線感測器網路收發器,事實上的標準是IEEE802.15.4規範(ZigBee和其他版本)。許多供應商已經開始提供基於802.15.4協定的收發器晶片。有些晶片是標準協定的簡化,而有些則提供了針對特殊套用的附加特徵。例如,GreenPeak公司的GP500收發器就包含了許多低功耗的特性,可以用於鈕扣電池供電和自收集能量供電的套用。也有一些廠商提供採用藍牙和Wi-Fi技術的感測器網路套用,IEEE802.15.4和藍牙技術的比較如表1所示。它們都採用非標準的形式,利用IEEE802.15.4協定在本國實現。IEEE802.15.4協定規範提供最基本的低功耗無線感測器網路套用是被廣泛接受的。
表1 IEEE 802.15.4和藍牙主要參數比較表1IEEE802.15.4和藍牙主要參數比較
ZigBee聯盟推動
ZigBee聯盟是一個由技術提供者和OEM產品公司組成的獨立標準化組織。在2007年底,該聯盟為ZigBee和ZigBeePRO網路協定規範定稿。從使用的角度出發,ZigBee網路協定棧是非常適合家庭套用的,家庭網路通常包括10個,或多到100個設備。ZigBeePRO網路協定棧是ZigBee的超集,它增加了網路容量和很好處理與其他無線技術衝突的能力特徵。ZigBeePRO的特徵使它非常適合大型套用,特別是在商業建築中的套用。ZigBeePRO的另一個特徵就是需要更大的存儲器空間,這使它的成本更高。在對成本極其敏感的消費電子市場,每一點額外增加的成本都限制了採用這項技術的可能性。然而,得益於半導體成本的日益降低,可以預測,在短期內ZigBee和ZigBeePRO之間的成本差異將可以被忽略,並且更多的套用將採用ZigBeePRO。
ISA-100和無線HART標準
ISA-100和無線HART是兩個工業自動化無線標準。ISA-100是由儀器、系統和自動化協會(ISA)發起的,該組織是一個針對工業自動化的非盈利技術協會。無線HART不是完整的工業感測器協定,它是一個對老式但卻很流行的、用於工業自動化的HART工業有線匯流排標準的補充。由於ISA-100和無線HART基本上解決了同樣的問題,目前正在檢驗是否可以合併這兩種標準。上述幾種低功耗無線協定的比較如表2所示。
表2 低功耗無線協定比較表2低功耗無線協定比較
私有無線通信技術
除了IEEE802.15.4標準外,也有許多技術可以用來實現私有的收發器。其主要目的是降低複雜性和減小潛在的成本。
私有技術可以比標準技術開發得更快,因為不需要在不同公司之間取得一致。也應該看到如果私有解決方案會達到足夠的產量,同樣會降低成本。降低複雜性有時可能會犧牲性能,限制它的套用範圍。
近期進展
即使在標準範圍之內,技術提供商也可以有更多的創新空間。例如,GreenPeak公司的EmeraldGP500C收發器和網路協定棧是與IEEE802.15.4標準兼容的,但增加了針對超低功耗套用的特徵。另一個進展是將很快出現在標準中的低功耗路由(LPR)技術。在LPR網路中,電池供電的設備可以從鄰近的設備接收訊息,並將信息轉發到更遠的通信鏈路中。其他標準提供這個功能的目的僅僅是為了持續給設備供電,以使它一直處於偵聽狀態。LPR為網路增加了時間同步機制,允許設備同時喚醒來啟動通信,並避免了設備連續運行。業界已經開始尋找無須電池的無線網路標準。有許多用於特殊功能的ZigBee協定——ZigBee協定子集。這是一些更小、更面向任務、功耗更低的協定棧。用於智慧型能源(SmartEnergy)和家庭自動化(HomeAutomation)特殊的ZigBee協定已經被開發出來並且發布了。新的無電池供電協定仍然在開發中,並且有望在一季度完成。
超寬頻無線通信及其兩大標準
引言
UWB(Ultra-WideBandwidth,超寬頻)脈衝無線電技術是近年來在國際上新興的一種無線通信技術。一般的通信系統通過傳送射頻載波進行信號調製,而UWB通信系統則不同,它不採用載波,而是利用納秒級的窄脈衝形式傳輸數據。美國市場研究機構ABI在其最近的一個報告中指出,未來幾年,超寬頻無線技術可能在多個套用領域擴大其市場份額,特別是家庭和消費網路設備中的無線視頻、音頻和數據套用。
超寬頻技術
UWB技術最早出現在20世紀60年代時域電磁學的研究中,用於通過衝激回響完整地描述某一類微波網路的瞬時特性。1972年,一種高靈敏的短脈衝接收設備研製成功,進一步加速了UWB技術的研究進展。直到1989年,超寬頻(UWB)這一術語才為美國國防部(DARPA)啟用。在此之前,這項技術常被稱為基帶無載波(basebandcarrier-free)調製或衝激(impulse)無線電技術。2002年2月14日,這項無線技術首次獲得了美國聯邦通信委員會(FCC)的批准用於民用通信,這一舉措有力的推動了UWB的發展。
1.超寬頻(UWB)的定義
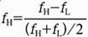
超寬頻的定義隨著超寬頻的發展幾經變化。2002年美國聯邦通信委員會(FCC)頒布了最新的UWB頻譜規劃,並規定只要一個信號在-10dB處的絕對頻寬大於0.5GHz或部分頻寬(fractionalbandwidth)大於20%,並且滿足FCC功率譜密度限制要求的信號,則這個信號就是超寬頻信號。這是目前學術界和企業界均較為認可的定義。FCC還規定了UWB系統在非授權的頻段3.1~10.6GHz之間的7.5GHz的頻寬頻率為UWB所使用的頻率範圍。部分頻寬定義為:
其中fH和fL分別為發射天線輸出-10dB輻射點所對應的上下頻點。其中fH和fL分別為發射天線輸出-10dB輻射點所對應的上下頻點。
從載波方面看,傳統的通信技術是把信號從基帶調製到載波上,而UWB技術是通過對具有很陡上升和下降時間的衝擊脈衝進行直接調製,從而具有吉赫茲量級的頻寬。由計算信道容量的Shannon公式(見下式)可知,信道的容量隨頻寬線性增加,隨信噪比的降低呈對數減小。這種關係說明,無線通信系統的容量可隨所占頻寬的增加、信噪比的降低而增加。超寬頻技術解決了困擾傳統無線技術多年的有關傳播方面的重大難題,它開發了一個具有吉赫茲容量和最高空間容量的新無線信道。Shannon信道容量公式:
Shannon信道容量公式其中:
C=最大通道容量
B=通道的頻寬
S=信號功率
N=噪聲功率
2.超寬頻(UWB)的特點
(1)保密性好。UWB利用傳送脈衝信號傳送數據。每秒可傳送10億個代表0和1的脈衝信號,這些信號被分布在一個很寬的頻譜範圍內,非常難被偵測到。在大多數情況下,UWB信號的功率譜密度低於自然的電子噪聲,有用的信息完全掩藏在噪聲中,所以從電子噪聲中將脈衝信號檢測出來是一件非常困難的事。
(2)耗電量低。通常情況下,無線通信系統在通信時要連續發射載波,因此要消耗電能。而UWB不使用載波,它的載體是占空比極低的窄脈衝,因此耗電量上以往系統的1%~10%。
(3)傳輸速率高、輻射低。UWB是當今個人無線網領域最高速的接入方法,特別適合短距離(20m)通信技術。DS-UWB成品目前已經達到110Mbit/s的傳送能力,並將在2006年有望達到1.6Gbit/s。UWB輻射極低,只有-41dBm/MHz。
(4)抗干擾性能強。UWB採用跳時擴頻信號,在發射時脈衝信號將分布到寬闊的頻帶中,輸出功率極低。
(5)UWB無線通信技術能夠在同一條光纜上快速、高容量的視頻、音頻和數據信號,可將網路和電視等電器結合在一起,實現電器的“掌控”。
(6)低成本。UWB技術無需進行射頻調治和解調,系統設計簡單,複雜性低,由此設備的成本低。
3.與其他短距離無線通信技術的比較
3.1 UWB與IEEE802.11a
IEEE802.11a是美國電氣和電子工程師學會(IEEE)為了改進其最初推出的無線標準IEEE802.11而推出的無線區域網路協定標準。IEEE802.11a工作在5GHz頻帶,物理層速率可達54Mbit/s,傳輸層可達25Mbit/s。IEEE802.11a用作無線區域網路時的通信距離可以達到100m,而UWB只能在10m以內的範圍通信,這對UWB來說是個劣勢。但與UWB相比,IEEE802.11a晶片價格昂貴、點對點連線很不經濟。
3.2 UWB與HomeRF
HomeRF是由HomeRF工作組開發的,是在家庭區域範圍內的任何地方,在PC機和用戶電子設備之間實現無線數字通信的開放性工業標準。作為無線技術方案,它代替了需要鋪設昂貴傳輸線的有線家庭網路,為網路中的設備,如筆記本電腦和Internet套用設備提供了漫遊功能。HomeRF工作頻段是2.4GHz,支持數據和音頻。與UWB相比,HomeRF傳輸距離遠,但速率太低。
3.3 UWB與藍牙技術
藍牙(Bluetooth)技術是一種支持點對點或點對多點的話音、數據業務的短距離無線通信技術。藍牙系統採用一種靈活的無基站的組網方式,使得一個藍牙設備可同時與7個其他的藍牙設備相連線。藍牙產品採用的是跳頻技術,能夠抗信號衰落;工作於2.4GHz的ISM(即工業、科學、醫學)頻段,以省去申請專用許可證的麻煩;採用FM調製方式,使設備變得更為簡單可靠;Bluetooth的每一個話音通道支持64kbit/s的同步話音,異步通道支持的最大速率為721kbit/s。Bluetooth的通信速率通常在1Mbit/s以下,通信距離可以達到10m以上。而UWB的通信速率在幾百兆比特每秒,通信距離僅有幾米,因此二者的套用領域不盡相同。總之,這些短距離無線通信技術各有其套用領域,表1比較了UWB與其他短距離無線通信技術的區別。
表1 UWB與幾種短距離無線通信技術的比較
表1 UWB與幾種短距離無線通信技術的比較UWB的兩大技術標準
2003年,在IEEE802.15.3a工作組徵集提案時,Intel、TI和XtremeSpectrum分別提出了多頻帶(Multiband)、正交頻分復用(OFDM)、直接序列碼分多址(DS-CDMA)3種方案,後來多頻帶方案與正交頻分復用方案融合,從而形成了多頻帶OFDM(MB-OFDM)和DS-CDMA兩大方案。UWB無線通信市場巨大,各大公司競相爭逐,主要存在兩大對立陣營:以美國TI、Intel等公司為首的MBOA(MB-OFDM聯盟);以美國XtremeSpectrum、Freescale等為主的DS-CDMA聯盟。超寬頻無線技術是採用DS-CDMA技術還是MB-OFDM技術體制,是當前UWB技術領域爭論的最為激烈的話題。下面將分別對這兩種體制介紹和比較。
MB-OFDM技術
MB-OFDM的核心是把頻段分成多個528MHz的子頻帶,每個子頻帶採用TFI-OFDM(時-頻交織正交頻率復用)方式,數據在每個子帶上傳輸。傳統意義上的UWB系統使用的是周期不足1ns的脈衝,而MB-OFDM通過多個子帶來實現頻寬的動態分配,增加了符號的時間。長符號時間的好處是抗ISI(符號間干擾)能力較強。但是這種性能的提高是以收發設備的複雜性為代價的,而且還要考慮子信道間干擾(ICI)的影響。MB-OFDM將在性能方面具有優勢(初期速度高達480Mbit/s),而且由於OFDM技術使微弱信號具有近乎完美的能量捕獲,所以它的通訊距離也會較遠。表2列出了MB-OFDM的主要技術參數。
表2 MB-OFDM主要技術參數
技術參數MB-OFDM
頻帶數量10(第一代為3)
頻帶頻寬每個子頻帶528MHz
頻率範圍1組:3.168~4.752GHz
2組:4.752~6.336GHz
3組:6.336~7.920GHz
4組:7.920~9.504GHz
5組:9.504~10.560GHz
調製方式TFI-OFDM,QPSK
糾錯編碼卷積碼
復用方式TFI
鏈路餘量5.3dB/10m,110Mbit/s
10.0dB/4m,200Mbit/s
11.5dB/2m,480Mbit/s
DS-CDMA技術
DS-CDMA最早是由XtremeSpectrum公司提出。DS-CDMA採用低頻段(3.1~5.15GHz),高頻段(5.825~10.6GHz)和雙頻帶(3.1~5.15GHz和5.825~10.60Hz)3種操作方式。低頻段方式提供28.5~400Mbit/s的傳輸速率,高頻段方式提供57~800Mbit/s的傳輸速率。DS-CDMA在每個超過1GHz的頻帶內用極短時間脈衝傳輸數據,採用24個碼片的DS-SS(直接序列擴頻)實現編碼增益,糾錯方式採用R-S碼和卷積碼。與MB-OFDM相比有較好的頻率利用率。表3列出了DS-CDMA的主要技術參數。
表3 DS-CDMA的主要技術參數
技術參數DS-CDMA
頻帶數量2
頻帶頻寬1.268~2.736GHz
頻率範圍3.2~5.15GHz
5.825~10.6GHz
調製方式BPSK,QPSK,DS-SS
糾錯編碼RS碼,卷積碼
復用方式CDMA
鏈路餘量6.7dB/10m,110Mbit
11.9dB/4m,200Mbit
1.7dB/2m,480Mbit
UWB通信標準的現狀
MB-OFDM和DS-CDMA都有各自的優缺點。DS-CDMA技術是單頻帶方式或窄脈衝方式,多個傳輸任務可共享整個頻帶的頻率,對現有的、許可頻帶內的用戶造成的干擾比較少,成本可以做得比較低、上市的時間較短,易於實現低功耗、低速數據流的無線傳輸,可實現更高速的無線數據傳輸,套用於媒體流及大量的數據傳輸;MB-OFDM技術是多頻帶方式,技術上易於實現、功耗很低,頻帶的利用率高,多個頻率子帶並列,可以避開某些頻帶,靈活配置,速率的擴展性好。
從2003年7月至今,國際電信聯盟(ITU)相繼為UWB標準問題召開過數次會議,但是都沒有獲得75%以上的贊成票,因此,UWB標準一直懸而未決。從技術上來講,MBOA和DS-CDMA是無法彼此妥協的。從產品上來講,DS-CDMA在開始的時候走在了前面。它的樣品在2004年初的時候已經展出,但之後的進展比較緩慢。而MBOA正迎頭趕上,它設計的晶片顯示它能以最高達480Mbit/s的速度傳送數據。相比較於DS-CDMA目前晶片在成本、體積和功耗上占有較大的優勢。UWB的短距離、高傳輸速率的特點使其必將在無線區域網路(WLAN)和無線個人區域網路(WPAN)有著廣闊的套用前景。它將取代USB和1394,連線個人電腦(PC)與外設等其他設備。UWB的套用將使通信變得更加方便。
4G標準2012年最終敲定 5G未制定明確定義
4G技術方案最後確定下來
2010年10月20日,國際電信聯盟無線通信部門(ITU-R)第5研究組國際移動通信工作組(WP5D)第9次會議在中國重慶落幕,會議最終將4G的6個備選方案融合成2個候選技術方案。“此次會議4G技術方案最後確定下來,中國的TD-LTE-Advanced也在裡邊,這是一個重要的里程碑。”工業和信息化部電信研究院通信標準研究所無線室主任萬屹接受通信世界網專訪時表示,會議還啟動了5G市場分析工作,“從目前情況來看,數據業務催生流量呈倍數增長,4G以後的移動通信發展還是非常樂觀的。”萬屹表示,“在重慶經歷的8天並沒有像外界想像的那么激烈。”在他眼中,2007年TD-SCDMA幀結構保存到TD-LTE中,並實現了3GPP內TDD的融合和此次會議意義一樣深遠。
4G標準2012年最終敲定
“2000年在確定了3G國際標準後,ITU就啟動了4G的相關工作,當時的名稱還叫做Beyond3G。”萬屹表示。2003年,ITU對4G關鍵性能指標進行定義,確定了4G的傳輸速率為1Gbit/s。2005年,ITU進行相關4G的市場預測,當時預計到2020年每用戶每天數據流量為2G~20G比特,“在當時看來,大家對於4G的市場前景估測相當激進。”在這些前期工作都準備完之後,ITU在2007年給4G/B3G分配了新的頻譜資源,並於2008年開始徵集關鍵技術。2009年10月開始,ITU對徵集到的6份4G提案逐一進行嚴格評估。2010年10月,國際電信聯盟無線通信部門(ITU-R)第5研究組國際移動通信工作組(WP5D)第9次會議在重慶召開,會議經審議一致通過將ITU收到的6個4G標準候選提案融合為2個——LTE-Advanced和WirelessMAN-Advanced(802.16m)。按照ITU標準審批流程,今年11月份WP5D將把此次會議的相關結果上報給SG5,2011年10月,4G標準將形成非常詳細的標準文本,並於2011年11月上報給SG5,最終4G標準將在2012年的春天完成所有環節的審批。
5G未制定明確定義
萬屹談到,“WP5D第9次會議主要討論了兩件事情:一是4G技術方案最後定下來,中國的TD-LTE-Advanced也在裡邊;另一件是5G市場分析工作已經啟動。”原來,業界普遍認為ITU在2005年預測的市場數據過於樂觀,可以稱得上“激進”二字。但移動網際網路的興起,誰也沒預料到移動網際網路會發展如此迅速,“現在覺得當時的預測比較保守,原來認為通信主要是人與人之間的通信,而視頻業務的套用、智慧型手機的普及和物聯網的興起,將帶來流量的飛速上漲。”“移動網際網路發展非常迅速,從目前拿到的不完全的數據表明,每年數據業務流量都將翻倍增長。當初市場預測主要基於人與人之間的通信,而現在隨著智慧型手機的普及,智慧型手機套用帶來了流量飛速上升。此外,物聯網的發展也將進一步促進網路的演進。”於是,ITU把5G的市場分析工作提上日程,但WP5D第9次會議上還未給5G制定明確的定義。“有些業務套用如視頻需要拓寬頻寬,而物聯網只是接入設備數量的增加,頻寬並不一定有特別明顯的增加”。萬屹認為,5G是否需要提升頻寬尚待研究,其次業界對支持市場需求的技術方案尚無共識。
TD-LTE-Advanced注重國際化
在專訪中連續多次被追問到,WP5D第9次會議上是否有精彩觀點交鋒時,萬屹露出了淡淡的笑容。“在重慶經歷的8天並沒有像外界想像的那么激烈”,萬屹表示,其實真正的工作在會前已經做好了。“本次大會,TD-LTE-LTE-Advanced能夠成為4G備選標準和之前的許多努力是分不開的。”據萬屹介紹,“從2006年開始,我國企業就開始做3GPP的合作。在ITU的會上,3GPP與我們基本是同一陣營的。”在4G標準討論之初,我國做了大量關鍵技術徵集,來自學校、企業等的文稿大概600篇。另外,我國也積極參與3GPP的標準化工作,其中中國提交的文稿占3GPP中TDD文稿數的一半多,FDD在10-20%之間,這為我國主導LTETDD標準奠定了基礎。與TD-SCDMA不同,TD-LTE-Advanced更注重國際化。萬屹指出,目前有很多國際廠商投入到TD-LTE研發上,國際上有12家運營商有意向採用TD-LTE技術,這都給TD-LTE-Advanced國際化之路提供了有力支撐。“從目前來看,LTE市場份額80%以上,有可能達到90%,802.16m市場份額可能占10%左右,LTE仍占據著市場主流”,萬屹補充道。談及衝擊4G標準的歷次會議,最讓人激動的一刻時,萬屹坦言,“2007年成功把TD-SCDMA幀結構保存到TD-LTE中,實現了3GPP內TDD的融合,TD-LTE成為LTE中唯一的TDD技術。”時光追溯到在2007年11月,在3GPPRAN151會議上,3GPP就融合了LTETDD兩種物理幀結構Type1和Type2,明確了TD-LTE的物理層幀結構為Type2,融合的幀結構基於我國的TD幀結構,這是TD-LTE向4G主流標準邁出的堅實的第一步。在專訪即將結束之時,談及運營商網路發展如何發展問題時,萬屹也給出了明確的答案。“最近兩年3G業務發展的很好,但從淨增長來看,2G仍是大頭。目前,我國的數據業務仍未超過語音業務,即使4G標準出台後,仍將是2G、3G、4G共存局面。”
《國際電信聯盟無線電通信標準術語與定義》
內容簡介
《國際電信聯盟無線電通信標準術語與定義》是我國第一本中文版國際電信聯盟無線通信標準術語和定義的專業圖書,共收錄了近4000條標準術語,涉及無線通信技術、系統、業務及其管理等方面,同時給出了這些術語的縮略語、中英文名稱,大部分的術語還給出了中英文的注釋。為便於讀者查找,《國際電信聯盟無線電通信標準術語與定義》還給出了這些術語的中文索引。《國際電信聯盟無線電通信標準術語與定義》可供無線通信領域的工程師、科研人員使用,也可供無線通信及相關專業的師生使用。 《國際電信聯盟無線電通信標準術語與定義》是由人民郵電出版社出版的。
序言
無線電通信是近年來通信領域中最為活躍且發展最為迅猛的通信技術。隨著無線電通信技術的飛速發展,湧現了各種無線電通信新技術、新服務、新標準和隨之而來的新系統和新設備,也帶來了無線電通信術語的不斷更新和豐富。
《國際電信聯盟無線電通信標準術語與定義》一書正是應無線電通信發展的時代潮流,結合ITU_R相關建議和標準的研究,對無線電通信標準術語進行了準確的中文定義,給出了中英文術語名稱和注釋。該書所涉及的無線電通信標準術語與定義涵蓋了無線電通信技術、系統、業務及其管理,專業性強,知識面廣。該書包含了近年來國際電信聯盟無線電通信標準化領域新出現的標準術語和定義,充分體現了其新穎性和時代性。該書是我國第一部中文版ITU-R無線電通信標準術語與定義。該書的出版填補了國內外有關ITU-R無線電通信標準術語與定義中文版的空白;對在全球範圍內統一規範和準確使用中文的國際電聯無線電通信標準術語和定義,提升我國在國際無線電通信管理領域的地位和促進我國無線電通信發展均具有重要意義。該書的出版一定會對推動中國和全球無線電通信領域的科學研究、國際交流以及中國的無線電通信發展與建設起到重要的作用。該書為無線電通信領域的工程師、研究人員和學生正確掌握無線電通信的中文標準術語與定義提供了有力工具,也滿足了其他讀者對日新月異的無線電通信工作的了解需求。
物聯網 標準
物聯網
標準最初被定義為把所有物品通過射頻識別和條碼等信息感測設備與網際網路連線起來,實現智慧型化識別和管理功能的網路。物聯網標準這個概念最早於1999年由麻省理工學院Auto-ID研究中心提出,實質上等於RFID技術和網際網路的結合套用。RFID標籤可謂是早期物聯網最為關鍵的技術與產品環節,當時人們認為物聯網最大規模、最有前景的套用就是在零售和物流領域,利用RFID技術,物聯網標準通過計算機網際網路實現物品或商品的自動識別和信息的互聯與共享。物聯網標準概念進行擴展,提出任何時刻、任何地點、任何物體之間的互聯,無所不在的網路和無所不在計算的發展願景,除RFID技術外、感測器技術、納米技術、智慧型終端等技術將得到更加廣泛的套用。但ITU未針對物聯網的概念擴展提出新的物聯網定義。
物聯網是未來Internet的一個組成部分
可以被定義為基於標準的和可互操作的通信協定且具有自配置能力的動態的全球網路基礎架構。物聯網中的“物”都具有標識、物理屬性和實質上的個性,使用智慧型接口,實現與信息網路的無縫整合。該項目簇的主要研究目的是便於歐洲內部不同RFID和物聯網項目之間的組網;協調包括RFID的物聯網研究活動;對專業技術、人力資源和資源進行平衡,以使得研究效果最大化;在項目之間建立協同機制。
其套用前景不可估量
RFID和感測器具有不同的技術特點,感測器可以監測感應到各種信息,但缺乏對物品的標識能力,而RFID技術恰恰具有強大的標識物品能力。儘管RFID也經常被描述成一種基於標籤的,並用於識別目標的感測器,但RFID讀寫器不能實時感應當前環境的改變,其讀寫範圍受到讀寫器與標籤之間距離的影響。因此提高RFID系統的感應能力,擴大RFID系統的覆蓋能力是亟待解決的問題。而感測器網路較長的有效距離將拓展RFID技術的套用範圍。感測器、感測器網路和RFID技術都是物聯網技術的重要組成部分,它們的相互融合和系統集成將極大地推動物聯網的套用,其套用前景不可估量。
我們需要高度重視物聯網標準體系建設
加強組織協調,明確方向、突出重點、統一部署、分步實施,積極鼓勵和吸納有關有物聯網套用需求的行業和企業參與標準化工作,穩步推進物聯網標準的制定和推廣套用,推動相關標準組織形成有效協調、分工合作的工作機制,儘快形成較為完善的物聯網標準體系。制定我國物聯網標準體系,也需要把國際物聯網套用的發展動態和我國物聯網發展戰略相結合,聯合相關部門開展研究,以保證實際需要為目標,結合實際國情和產業現狀,給出標準制定的優先權列表,進而為國家的巨觀決策和指導提供技術依據,為與物聯網標準相關的國家標準和行業標準的立項和制定提供指南。

