基本介紹
無理不等式是一種代數不等式,指含有無理式的代數不等式。解無理不等式的一般方法如下 :
1.確定未知數的允許值範圍。
2.通過變形化去不等式中的根號,把它轉化為不含根式的不等式或不等式組或混合組。
3.求解不等式(組)。
4.取不等式(組)的解集與未知數允許值範圍的公共部分。在化去根式時,常依據的同解定理有:
無理不等式f(x)<g(x) [f(x)] <[g(x)] (k∈N);
或設f(x)≥0,g(x)≥0,k∈N時,則
無理不等式f(x)<g(x) [f(x)] <[g(x)] .
解無理不等式的關鍵是將無理不等式轉化為有理不等式,在轉化過程中,常常通過乘方的方法去掉根號,對於含有偶次根式的不等式,既要使各個根式都有意義,又要在進行偶次乘方時保證不等式兩邊的作負性,才能使變形保持同解 。
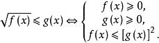
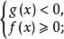
含二次根式的無理不等式的解法,關鍵是把它同解變形為有理不等式(組),其基本變形有 :
無理不等式
無理不等式或
無理不等式例題解析
在被開方式中含有未知數的不等式叫無理不等式,無理不等式解法的主要思想是利用不等式乘方性質,去掉根號化為有理不等式和直接利用算術根的定義來解 。
【例1】解下列不等式
無理不等式解 解原不等式等價於解下列不等式組
無理不等式解之得x>23/3,即為原不等式的解。
無理不等式說明:一定要注意含有一個二次根式的無理不等式兩種基本類型解法的區別,產生這種區別的原因在於類型,根據算術根的意義,當f(x) <0時,原不等式不可能成立,故此時無解。而
無理不等式類型在f(x)<0時,是可能有解的 。

