簡介
試塊在實驗中不對試塊的側邊加以限制,是一種理論試驗值。而對於地基中的岩石來說,實際上是有側限的抗壓強。
目的和適用範圍
(1)、無側限抗壓強度是試件在無側向壓力的條件下,抵抗軸向壓力的極限強度。
(2)、本試驗適用於測定飽和軟黏土的無側限抗壓強度及靈敏度。
試驗原理
無側限抗壓強度試驗是三軸試驗的一個特例,即將土樣置於不受側向限制的條件下進行的壓力試驗,此時土樣所受的小主應力為0, 而大主應力的極限值即為無側限抗壓強度。
儀器設備
(1)應變控制式無側限壓縮儀:由測力計、加壓框架、升降設備組成。
(2)軸向位移計:量程 10mm ,分度值 0.01mm 的百分表。
(3)天平:稱量 500g ,分度值0.1g 。
操作步驟
(1)原狀土試樣製備按三軸壓縮試驗步驟進行。試樣直徑為39.1mm ,高度為80mm 。
(2)將試樣兩端抹一薄層凡士林,在氣候乾燥時,試樣周圍亦需抹一薄層凡士林,防止水分蒸發。
(3)將樣放在底座上,轉動手輪,使底座緩慢上升,試樣與加壓板剛好接觸,將測力計讀數調整為零。根據試樣的軟硬程度選用不同量程的測力計。
(4)軸向應變速度宜為每分鐘應變 1 %~ 3 %。轉動手柄,使升降設備上升進行試驗,軸向應變小於 3 %時,每隔 0.5 %應變 ( 或 0.4mm) 讀數一次軸向應變等於、大於 3 %時,每隔 1 %應變 ( 或 0.8mm) 讀數一次。試驗宜在 8 ~ 10min 內完成。
(5)當測力計讀數出現峰值時,繼續進行 3 %~ 5 %的應變後停止試驗;當讀數無峰值時,試驗應進行到應變達 20 %為止。
(6)試驗結束,取下試樣,描述試樣破壞後的形狀。
(7)當需要測定靈敏度時,應立即將破壞後的試樣除去塗有凡士林的表面。加少許余土,包於塑膠薄膜內用手搓捏,破壞其結構,重塑成圓柱形,放入重塑筒內,用金屬墊板,將試樣擠成與原狀試樣尺寸、密度相等的試樣,並按本條 1 ~ 5 款的步驟進行試驗。
結果整理
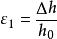
(1)按下式計算軸向應變:
無側限抗壓強度試驗
無側限抗壓強度試驗
無側限抗壓強度試驗式中: ——軸向應變(%);
無側限抗壓強度試驗——試件起始高度(cm);
無側限抗壓強度試驗——軸向變形(cm);
n——手輪轉速;
無側限抗壓強度試驗——手輪每轉一轉,下加壓板上升高度(精確0.01mm);
R——百分表讀數(精確0.01mm)。
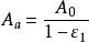
(2)按下式計算試件平均面積:
無側限抗壓強度試驗
無側限抗壓強度試驗
無側限抗壓強度試驗式中: ——校正後試件的斷面積( );
無側限抗壓強度試驗
無側限抗壓強度試驗——試件起始面積( )。
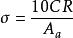
(3)應變控制式無側限壓縮儀上試件所受軸向應力按下式計算:
無側限抗壓強度試驗
無側限抗壓強度試驗式中: ——軸向壓力(kPa);
C——測力計校正係數(N/0.01mm);
R——百分表讀數(0.01mm);
無側限抗壓強度試驗
無側限抗壓強度試驗——校正後試件的斷面積( )。
(4)以軸向應力為縱坐標,軸向應變為橫坐標,繪製應力——應變曲線。以最大軸向應力作為無側限抗壓強度。若最大軸向應力不明顯,取軸向應變15%處的應力作為該試件的無側限抗壓強度。

