簡介
漸近展式亦稱漸近級數,是函式的一種展開式。
漸近展式
漸近展式
漸近展式
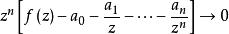
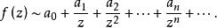
漸近展式對於在角域 定義的函式f(z),如果對於所有固定的n,當z∈D,|z|→∞時, 成立,則稱級數 為f(z)的漸近展式或漸近級數,記為
性質
通常漸近展式不一定收斂,但從其定義可以知道,漸近展式的部分和給出f(x)的近似值,並且x的值越大近似得越好,這就是漸近這個名稱的來源。
對漸近展式,可以如對收斂級數一樣地加、減、乘、除及逐項積分。
示例
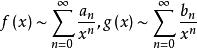
漸近展式若 ,則對任意常數α,β,有
漸近展式
漸近展式
漸近展式
漸近展式
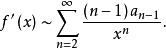
漸近展式又分別當 和 連續時,有
