簡介
漂移-擴散方程是用來描述半導體中載流子的運動規律的方程。它描述了兩類運動:擴散電流和漂移電流。漂移擴散方程和泊松方程一起可以用來計算半導體內的電勢分布和載流子濃度分布,該模型套用廣泛,屬於用半經典性模型。
公式
漂移–擴散方程n型半導體
漂移–擴散方程p型半導體
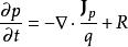
電流連續性方程:
漂移–擴散方程
漂移–擴散方程
漂移–擴散方程其中 nand p代表空穴和電子的載流子密度; q代表基本電荷; Jand J代表電子電流和空穴電流; R代表載流子產生和複合率(R>0表示電子-空穴對正在被產生,R<0 表示電子和空穴複合了); E代表電場強度矢量; 代表電子和空穴的遷移率。
漂移–擴散方程擴散係數D和遷移率 的關係可以用愛因斯坦關係表示:
漂移–擴散方程其中 k是波爾茲曼常數 T是絕對溫度.漂移電流和擴散電流是指不同的電流: 漂移電流:
漂移–擴散方程擴散電流:
漂移–擴散方程舉例
當半導體中的載流子分布處於非平衡態時,擴散就會發生。比如半導體兩端有電勢差的時候,或者半導體一部分有光照產生了載流子,造成局部載流子濃度增加。
