滴落法量熱原理
滴落量熱法是將一種小體積樣品加熱到通常接近室溫的某一溫度後,然後讓其快速滴落至量熱儀中另一種已知溫度狀態的樣品池中的技術,樣品池周圍則環繞著採用程式控溫的爐體加熱塊。
通常有兩種操作方式,一種為直接滴落法,一種為溶液滴落法。
滴落量熱滴落式量熱所需樣品量比較大,量熱感測器垂直布置於兩個坩堝周圍,配備相應感測器則可達到1300——1500℃的測試溫度。如採用卡爾維量熱感測器,則具備更高熱交換程度,並顯著提高量熱靈敏度,而不受材料及坩堝種類限制。其大樣品量也可實現樣品的無限稀釋,從而測定溶解熱。校準方式則採用滴落已知熱容的物質來進行標定,如 、鉑金等。
直接滴落量熱法
直接滴落法見下圖,將溫度為T1的樣品直接滴落進溫度為T2的量熱艙,探測其溫度從T升高到T2所產生的總熱量。
直接滴落量熱該方法可用於比熱測定、轉變焓測定、鋁熱反應等直接合成反應的生成焓測定。
1. 比熱測定
如果從T1到T2的溫度範圍內,樣品沒有發生相轉變或反應,則其產生的熱量可由以下公式計算得到:
滴落量熱該方法適用於計算兩種情況下的比熱:1. 樣品在給定溫度下的比熱值;2.樣品在某段溫度範圍內比熱值的變化情況。
對於第一種情況來說,需要將樣品滴落至不同溫度,從而確定不同溫度下樣品的熱變化情況.具體操作時,選取T1和T2兩種溫度,並且二者溫度相差並不太大,以便於根據相關關係計算平均比熱值。
第一組實驗,將樣品從T0滴落至T1:
滴落量熱第二組實驗,將樣品從T0滴落至T2:
滴落量熱通過對T1和T2溫度取平均值,根據(T1,T2)區間的熱量數據,採用下列公式即可計算出樣品的比熱值。
滴落量熱
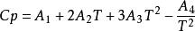
滴落量熱對於第二種情況而言,滴落量熱法不是直接提供某種物質的比熱測試數據,而是在給定的溫度範圍內,給出與實驗曲線相對應的比熱公式變數,從而可以引申和計算得到比熱擬合公式。例如熱焓表達式如下所示:
滴落量熱與之對應,比熱的表達式為:
滴落量熱實驗結果則會給出A0,A1,A2,A3,A4所有係數的數值,用於描述擬合曲線。
2. 轉變焓測定
在實驗溫度範圍內,樣品如果發生熔融、結晶、相變等結構變化,先前測量比熱的方式就不再適用於相變後的情況了,因此,熱量變化表達式也會發生相應變化,總熱量包含比熱部分和轉變焓部分。
滴落量熱為了測量得到轉變焓,需要計算相變之前和之後的比熱變化情況,這兩條比熱曲線的差異就是轉變焓的數值。
3. 直接合成反應的生成焓測定
某些合金的合成反應要求迅速升溫到目標溫度,如鋁和金屬氧化物發生的鋁熱反應。對於這類反應而言,將反應混合物加熱至目標溫度的最快方法就是直接將其滴落至設定為理想溫度的量熱艙,其熱量表達式如下。
滴落量熱
滴落量熱為了確定生成焓,需要將純物質A和純物質B分別進行滴落, 即代表參與該反應的A物質對應的熔融焓。
溶液滴落量熱法
溶液滴落法見下圖,將溫度為T1的樣品直接滴落進溫度為T2的盛滿金屬或氧化物溶液的量熱艙中。這種情況下,相應的總熱量包括樣品溫度從T升高到T2所產生的熱量,以及其產生的溶解熱。
溶解滴落量熱該方法套用方向也有兩個,溶解熱測定和生成焓測定。
1. 溶解熱測定
溶液滴落量熱法的一個主要套用方向就是測定合金在金屬或氧化物中的溶解熱,為了獲取此類數據,需要將樣品滴落至專用溶劑中,表達式如下:
滴落量熱式中,第一部分表示樣品從T1升溫到T2的比熱變化,最後一部分表示樣品溶入溶劑中的溶解熱。對樣品來說,在這個溫度範圍內還會發生結構變化,所以這部分熱量在計算中也需要考慮進去。同樣,滴落實驗要重複若干次以獲取較為準確的溶解熱平均值,理論上講,為了得到準確的溶解熱,樣品與溶劑比需越大越好,以此體現溶劑對樣品的無限稀釋作用。
2. 生成焓測定
上文提到的溶解熱測試方法,其實也是一種間接測定合金生成焓的方法,為了測定AxBy型合金的生成焓,則需要分別測定以下物質在給定溶劑中相應的溶解熱:純物質A的溶解熱,純物質B的溶解熱,以及AxBy合金的溶解熱。根據以上數據,可以得到如下表達式:
滴落量熱該技術方法還可以成功解決二元體系或三元體系中的生成焓測定問題。

