壩基
觀測斷面
(1)主要對土石壩進行滲流壓力觀測。其中壩基滲流壓力包括:壩基天然岩土層,人工防滲設施和排水系統等關鍵部位滲流壓力的分布情況。
觀測橫斷面的位置應根據工程重要性、土石壩的規模、防滲和排水措施、施工方法和質量、壩基工程地質構造、地層結構和水文地質條件及設計和試驗結果等綜合考慮而定。
(2)觀測橫斷面一般布置在能控制主要滲流情況和預計可能發生問題的部位,其中包括:河床最高壩高斷面及合龍斷面、可能產生裂縫及地形變化顯著的斷面、壩基土層變化的分界斷面、施工質量差或存在疑問的斷面、基岩破碎或有斷層通過的斷面。
(3)觀測橫斷面的數量,對於大型和重要的中型水庫,宜不少於3個;當壩體較長時,可不多於5個。各觀測橫斷面宜順流線方向布置,並儘量與壩體滲流壓力觀測面相結合。
觀測點
一、均質透水壩基
(1)用水平鋪蓋防滲的壩。對鋪蓋的防滲效果及壩基內部管涌和外部流土是檢測的重點。對於有鋪蓋的均質壩、斜牆壩或心牆壩均應在鋪蓋的末端底部和滲流出口內側設定測點,其餘部分可適當補充測點。測點埋入壩基的深度為1~2m。
(2)用垂直截水牆防滲的壩。有截滲牆(槽)的心牆壩、斜牆壩,應在牆(槽)的上下游側各布設1個測點。對於粘土截水牆防滲的壩,可在截水牆內的上部和底部各增設1個測點。
當牆(槽)位置偏向上游壩踵時,可僅在下游布設測點。有剛性防滲牆與塑性心(斜)牆相接時,結合部的粘土層易出現拉應力而產生裂縫,需在結合部適當增設測點,如下圖。
混凝土截水牆防滲斜牆壩測點布置二、層狀透水壩基
(1)上層為強透水層。即上層為砂層或砂礫石層,下層為弱透水的粘土層,可作為上述單層壩基對待。將弱透水層作為相對不透水層,而僅在上層布設測點,測點位置在橫斷面中下游段和滲流出口附近。
(2)下層為強透水層。可將測點布設在下層,位置也在橫斷面中下游段及滲流出水口附近。當有減壓井()或減壓溝)等排水時,可在其上下游側和井間適當布置測點,如下圖所示。
雙層壩基有減壓井測點布置三、岩石壩基
當有貫穿上下游的斷層、破碎帶或其他易溶、軟弱帶時,沿其走向在與壩體的接觸面、截滲牆(槽)的上下游側或深層所需監測的部位布置測點 。
壩體
觀測斷面
土石壩壩體滲流壓力觀測包括確定斷面上的壓力分布和浸潤線位置。為此,觀測橫斷面布置原則與上述壩基滲流壓力相同。宜選在最大壩高處、合龍段、地形或地質條件複雜壩段,並儘量與變形、應力觀測斷面相結合,一般宜布設3個。
觀測垂線
根據壩型結構、斷面大小和滲流特性,在觀測橫斷面上,布設3~4條觀測垂線。
1.均質壩
均質壩指壩體各部位的滲透係數基本相同。按其流網特點可分為上游壩肩以左的上游楔體區和以右的梯形區。在楔體區一般布設2條,其中一條在壩肩;在梯形區至少布設2條,其中一條在排水體前緣,如下圖。
梯形排水均質壩測點布置2.斜牆壩或面板壩
由於斜牆壩上游壩殼厚度和面板壩的混凝土或瀝青面板均較薄,故不需在斜牆及面板內布置測點。
在斜牆或面板下游側底部、排水體前緣及其間部位應布設測線,如下圖所示。此種壩堆石體浸潤線位置較低,等勢線近似於垂線。
面板堆石壩測點布置3.心牆壩
(1)寬塑性心牆壩。在心牆內可設1~2條,另在心牆下游側和排水體前緣各布設1條。
(2)窄塑性或剛性心牆壩。在心牆體外上、下游側各布設1條,另在排水體前緣布設1條。
經論證有必要時可在牆體內增設1條。
觀測點
根據壩高和需要監測的範圍以及滲流場特性,並考慮便於通過流網分析確定浸潤線位置,在觀測垂線上分別布置1~3個測點,一般原則是:
(1)在均質壩橫斷面的梯形區,心牆和斜牆壩牆體下游壩殼區及面板壩的堆石體內強透水料區,其等勢線近於垂線,故每條垂線只布設一個測點,其高程應設在死水位形成的浸潤線之下。
(2)在滲流進、出口段,滲流各向異性明顯的土層中,以及浸潤線變幅較大處,包括均質壩的楔體區,非均質壩、心牆壩的上游壩殼區和心牆區及面板壩的墊層內,應根據預計浸潤線的最大變幅沿垂線不同高程布設測點,每條垂線的測點數一般為2~3個。
(3)需觀測上游壩坡內滲流壓力分布的均質壩和心牆壩,應在上游壩的正常高水位和死水位之問適當增設觀測點 。
觀測設備
測壓管
1.設定要求
滲流壓力按規定,測壓管適用於作用水頭小於20m的壩、滲透係數大於或等於 的土中、滲水壓力變幅小的部位及監測防滲體裂縫等。
2.孔口段
應設定管口保護裝置,要求簡單牢固、開啟方便,並能鎖閉、防止損壞。當自動或遙測時能滿足接收儀表的測量要求。
3.導管段
採用直徑不大於50mm的無縫鍍鋅鋼管,內壁塗防腐防鏽材料,外壁應嚴密封堵,以防客水干擾或壓力水串通。封孔材料為膨潤土球、高崩解性粘土球或水泥砂漿,以避免滲透。
管徑增大後,當管中水位上升(或下降)時,則補充(或排出)管中相應滲水量所需的時間即滯後時間與管徑呈正比,當岩土的滲透係數較小時,增加管徑造成的時間滯後是嚴重的,若庫水位變化較快時,觀測誤差就更大。
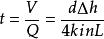
滲流壓力
滲流壓力設庫水位上升(或下降)時,影響測壓管內的滲流量為Q,測壓管內水位相應上升(或下降),相應管內所需補充(或排出)水的體積為V,則所需的時間即滯後時間t可按下式估算:
滲流壓力式中,d——測壓管導管段管徑,cm;
k——岩土滲透係數,cm/s;
i——岩土滲透坡降;
n——測壓管進水段開孔率,%;
L——測壓管進水段長度,cm。
4.進水端
對於土石壩測壓管進水段管外應包紮無紡土工織物防止土顆粒進入管內,管底封閉不留沉澱管段。進水段管長不小於1.0m,進水孔應排列均勻,內壁無毛刺,原則上儘量增大開孔率,也可採用與導管段內徑相同的多孔聚乙烯過濾管或透水石管作進水段。
進水段鑽孔直徑不小於10cm,下管前先填10cm厚反濾料,下管後管外需填反濾料並逐層夯實,直至進水段頂部。反濾料要有足夠的透水性又能防止細顆粒進入測壓管,其滲透係數宜大於周圍介質的10~100倍,對粘壤土或砂壤土可用純淨細砂,對砂礫石層可用洗淨、風乾的細砂到粗砂的混合料。
5.觀測儀器
當為無壓孔時,可用電測水位計進行觀測。
滲壓計
1.設定要求
滲流壓力滲壓計適用於作用水頭大於20m的壩、滲透係數小於的土中、觀測不穩定滲流過程及不適宜埋設測壓管的部位,如鋪蓋或斜牆底部、接觸面等。
2.安裝埋設
(1)挖坑埋設時,在填築高程超出測點0.3m時,開挖長、寬、深分別為30、30、40cm的坑,將已浸水飽和裝入銅砂網袋內的儀器放入坑中,回填原開挖土料,人工夯實,上部填土保護厚度為1m。
(2)鑽孔埋設時,孔徑按孔中安裝儀器數量而定,一般為φ108~146mm,成孔後在儀器上、下各回填中粗砂30~40cm,其上按設計充填封孔材料組水並分段搗實。
3.感測器
可選用相應的滲壓計進行安裝和觀測 。

