簡介
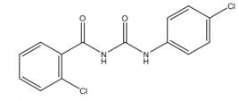
【中文名稱】滅幼脲三號;蘇脲一號;鄰氯苯甲醯基-3-(4-氯苯基)脲
【英文名稱】mieyouniao No.3;suniao No.1
【結構或分子式】CHClNO
【密度】堆積密度0.74
【熔點(℃)】199~200
性狀
純品為白色晶體。
溶解情況
不溶於水、乙醇、甲苯及氯苯中,在丙酮中的溶解度1克/100毫升,易溶於二甲基亞碸及N,N-二甲基甲醯胺和吡啶等有機溶劑。
用途
屬低毒殺蟲劑。在動物體內無明顯蓄積毒性,未見致突變,致畸作用。是一種昆蟲幾丁質合成抑制劑。具有高效低毒、殘效期長、不污染環境的優點,是綜合治理有害生物的優良品種。對小麥粘蟲、松毛蟲、菜青蟲、美國白蛾、蚊蠅等害蟲均有良好的治療效果。
製備或來源
1.由鄰氯苯甲醯氯和對氯苯基脲在催化劑作用下合成。或者採用草醯氯(或光氣)和鄰氯苯甲醯胺反應,生成鄰氯苯甲醯基異氰酸酯,再與對氯苯胺反應製得。
2.對氯苯脲的製備將1mol對氯苯胺溶解於稀鹽酸中,緩慢地加入1.07mol氰酸鈉的100mL水溶液,保持在室溫下攪拌1.5H,再加入10%鹽酸50Ml,繼續在室溫下反應0.5H。過濾、水洗、烘乾得對氯苯脲163G,產率96%。
3.鄰氯笨甲醚氯的製備將1.5mol新蒸餾的氯化亞颯加入到1.0mol鄰氯笨甲酸中,加熱回流1h,待固體全部變為液體,於238 ('蒸出鄰氯笨甲醚氯154g,收率88%
4.鄰氯苯甲酸經氯化、胺化製得鄰氯苯甲醯胺,再與草醯氯(或光氣)反應生成鄰氯苯甲醯基異氰酸酯,再與對氯苯胺加成製得滅幼脲。
5.光氣法
性能與特點
滅幼脲是一種昆蟲生長調節劑,屬特異性殺蟲劑。害蟲取食或接觸藥劑後,抑制表皮幾丁質的合成,使幼蟲不能正常蛻皮而死亡。主要是胃毒作用,也有一定的觸殺作用,但無內吸性。對鱗翅目和雙翅目幼蟲有特效,不殺成蟲,但能使成蟲不育,卵不能正常孵化。毒性低,對人、畜和植物安全,對天敵殺傷小,藥效較慢,2~3天后才能顯示殺蟲作用。
其他
工業品為淺綠色固體,熔點190~196℃,遇鹼和較強的酸易分解。常溫下貯存比較穩定。
本文採用多種室內模擬試驗,研究了新型殺蟲劑滅幼3號對魚、蜂和蠶三種非靶生物的安全性影響。結果表明,在田間常規用藥情況下,滅幼脲3號對魚類和蜜蜂的影響是安全的,但對幼齡家蠶的毒殺作用非常明顯,因此在使用該藥時,要嚴格防範對附近桑樹的污染,以防家蠶受害。

