基本介紹
載波同步、位同步和群同步主要解決的是點對點之間的通信問題,但實際通信往往需要在許多通信點之間實現數字信息的相互交換與復接以構成通信網,這就有必要在通信網內建立一個 網同步系統,以保證通信網正常可靠地運行。網同步實際上就是在網內建立一個統一的時間標準。
數字復接技術的過程需要合路器和分路器來完成,合路器的作用是將多個速率較低的數據流合為一個速率較高的數據流,分路器的作用是將高速數據流分離為一個速率較低的數據流圖。要完成多點之間數字信息的相互交換和復接就離不開網同步系統。
保證通信網中各個支路都有共同的時鐘信號,是網同步的任務。實現網同步的方法主要有兩大類:一類是 全網同步系統,即在通信網中使各站的時鐘彼此同步,各地的時鐘頻率和相位都保持一致。完成這種方式的主要方法有 主從同步法和 相互同步法。另一類是 準 同步系統,也稱 獨立時鐘法,即在各站均採用高穩定性的時鐘,相互獨立,允許其速率偏差在一定的範圍之內,在轉接設備中設法把各支路輸人的數碼流進行調整和處理之後,使之變成相互同步的數碼流,變異步為同步,即所謂準同步工作。實現這種方式的方法也有兩種,即 碼速調整法和 水庫法 。
碼速調整法
準同步系統各站各自使用高穩定時鐘,不受其他站的控制,它們之間的時鐘頻率允許有一定的容差。這樣各站送來的數碼流首先進行碼速調整,使之變成相互同步的數碼流,即對本來是異步的各路數碼進行碼速調整。
圖1 數字網寫入/讀出示意圖圖1為數字網寫入/讀出示意圖,可用在碼速調製中。
(1)當寫入速率大於讀出速率時,將會造成存儲器溢出,致使輸入信息比特丟失(即漏讀),如圖2(a)所示。對於同步系統而言,利用這種漏讀的效果可把高速率的時鐘調製到一個低速率時鐘上。
(2)當寫入速率小於讀出速率時,可能會造成某些比特被讀出兩次,即重複讀出(重讀),如圖2(b)所示。利用這種重讀的效果可把低速率的時鐘調製到一個高速率時鐘上。
圖2(a) 漏讀現象示意圖(圖中↓表示1個比特)
圖2(b) 重讀現象示意圖(圖中↓表示1個比特)碼速調整的主要優點是各站可工作於準同步狀態,而無需統一時鐘,故使用起來靈活、方便,這對大型通信網有著重要的實用價值 。
水庫法
水庫法是依靠在各交換站設定極高穩定度的時鐘源和容量大的緩衝存儲器,使得在很長的時間間隔內不發生“取空”或“溢出”的現象。容量足夠大的存儲器就像水庫一樣,既很難將水抽乾,也很難將水庫灌滿。因而可用作水流量的自然調節,故稱為 水庫法。
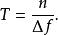
準同步現在來計算存儲器發生一次“取空”或“溢出”現象的時間間隔T。設存儲器的位數為2n,起始為半滿狀態,存儲器寫入和讀出的速率之差為,則有
準同步
準同步設數字碼流的速率為,相對頻率穩定度為s,並令
準同步則
準同步上式是水庫法進行計算的基本公式。
準同步
準同步例1 設,並設,需要使T不小於24小時,則利用水庫法基本公式(1)可求出n=45位。
顯然,這樣的設備不難實現。若採用更高穩定度的振盪器。例如鎵原子振盪器,其頻率穩定度可達5×10 。因此,可在更高速率的數字通信網中採用水庫法作網同步。但水庫法每隔一個相當長的時間總會發生“取空”或“溢出”現象,所以每隔一定時間要對同步系統校準一次 。

