基本概念
在湍流中,一方面因時均流速不同,各流層間的相對運動仍然存在粘性切應力,粘性切應力可由牛頓內摩擦定律求出。另一方面,由於湍流質點存在脈動,相鄰流層之間有質量的交換。低速流層的質點由於橫向運動進入高速流層後,對高速流層起阻滯作用;反之,高速流層的質點在進入低速流層後,對低速流層卻起推動作用。也就是由質量交換形成了動量交換,從而在流層分界面上產生了湍流附加切應力。
公式推導
湍流剪應力用動量方程來推導湍流附加切應力 。
湍流剪應力
湍流剪應力
湍流剪應力
湍流剪應力如圖1所示,在空間點A處,具有x和y方向的脈動流速 和 。在 時段內,通過 的脈動質量為:
湍流剪應力
湍流剪應力這部分流體質量,在脈動分速 的作用下,在流動方向的動量增量為:
湍流剪應力
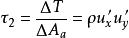
湍流剪應力此動量等於湍流附加切力 的衝量,即:
湍流剪應力因此,附加切應力為:
湍流剪應力
湍流剪應力
湍流剪應力
湍流剪應力
湍流剪應力
湍流剪應力
湍流剪應力
湍流剪應力
湍流剪應力
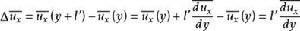
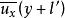
湍流剪應力現取時均值 , 就是單位時間內通過單位面積的脈動微團進行動量交換的平均值。取基元體(如圖1(b)),以分析縱向脈動速度 與橫向脈動速度 的關係。根據連續性原理,若時段內,A點處微小空間有 質量自 面流出,則必有 的質量自 面流入,即:
湍流剪應力則
湍流剪應力
湍流剪應力
湍流剪應力
湍流剪應力
湍流剪應力
湍流剪應力
湍流剪應力
湍流剪應力
湍流剪應力由上式可見,縱向脈動流速 與橫向脈動速度 成比例,而 與 總為正值。因此 與 符號相反。為使附加切應力 以正值出現,在式 中加一負號,得:
湍流剪應力
湍流剪應力
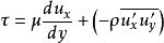
湍流剪應力上式就是用脈動流速表示的湍流附加切應力基本表達式。它表明附加切應力與粘性切應力不同,它與流體粘性無直接關係,只與流體密度和脈動強弱有關,是由微團慣性引起, 又稱為慣性切應力,是雷諾於1895 年首先提出, 也可稱為雷諾應力。
在湍流流態下,湍流切應力為粘性切應力與附加切應力之和,即:
湍流剪應力兩部分切應力的大小隨流動情況而有所不同。在雷諾數較小,脈動較弱時,前項占主要地位。隨著雷諾數增加,脈動程度加劇,後項逐漸加大。到雷諾數很大,紊動已充分發展的湍流中,前項與後項相比甚小,前項可以忽略不計。
圖1混合長度理論
湍流剪應力然而脈動速度瞬息萬變,由於對湍流機理還未徹底了解,式 不便於直接運用。主要採用半經驗的方法,即一方面對湍流進行一定的機理分析,另一方面還得依靠一些具體的實驗結果來建立附加切應力和時均流速的關係。湍流的半經驗理論是工程中主要採用的方法。雖然各家理論出發點不同,但得到的湍流切應力與時均流速的關係式卻基本一致。1925 年德國學者普朗特(L.Prandtle)提出的混合長度理論,就是經典的半經驗理論。
湍流剪應力
湍流剪應力
湍流剪應力
湍流剪應力
湍流剪應力
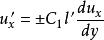
湍流剪應力普朗特構想流體質點的湍流運動與氣體分子運動類似。氣體分子走完一個平均自動路程才與其他分子碰撞,同時發生動量交換。普朗特認為流體質點從某流速的流層因脈動進入另一個流速的流層時,也要運行一段與時均流速垂直的距離 後才和周圍質點發生動量交換。在運行 距離之內,微團保持其本來的流動特徵不變。普朗特稱此 為混合長度。如空間點A處(圖1(a))質點A沿x方向的時均流速為 ,距A點 處質點x方向的時均流速為 ,這兩個空間點上質點沿 x 方向的時均流速差為:
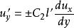
湍流剪應力普朗特假設脈動速度與時均流速梯度成比例,為了簡便,時均值不再標以時均符號,即:
湍流剪應力
湍流剪應力
湍流剪應力
湍流剪應力從式 可知 與 具有相同數量級,但符號相反,即:
湍流剪應力於是:
湍流剪應力
湍流剪應力略去下標x,並令 ,得到湍流附加切應力的表達式為:
湍流剪應力
湍流剪應力混合長度 是未知的,要根據具體問題作出新的假定結合實驗結果才能確定。普朗特關於混合長度的假設有其局限性,但在一些湍流流動中套用普朗特半經驗理論所獲得的結果與實踐能較好符合,所以仍然是工程上套用最廣的湍流理論。

