基本概念
混沌現象是在非線性動力系統中表現的確定性、類隨機的過程,這種過程既非周期又不收斂,並且對於初始值具有敏感的依賴性。混沌理論(Chaos theory)是關於非線性系統在一定參數條件下展現分岔(bifurcation)、周期運動與非周期運動相互糾纏,以至於通向某種非周期有序運動的理論。
混沌理論在許多科學學科中得到廣泛套用,包括:數學、生物學、信息技術、經濟學、工程學、金融學、哲學、物理學、政治學、人口學、心理學和機器人學。
一維混沌系統
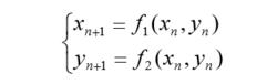
一個一維離散時間非線性動力學系統定義如下:
混沌系統
混沌系統
混沌系統
混沌系統
混沌系統其中, , k=0,1,2,3…,我們稱之為狀態。 而 是一個映射,將當前狀態xk映射到下一個狀態xk+1。如果我們從一個初始值x0開始,反覆套用 , 就得到一個序列 ,k=0,1,2,3…..。這一序列稱為該離散時間動力系統的一條軌跡。
Logistic映射
一類非常簡單卻被廣泛研究的動力系統是logistic映射,它起源於蟲口模型。其定義有多種形式。
其中一種形式為:
混沌系統
混沌系統其中,混沌域為(0,1), 稱為分枝參數,xk ∈(0,1)。
混沌動力系統的研究工作指出,當3.5699456…<μ<=4 時,logistic映射工作於混沌態。也就是說,由初始條件x0在logistic映射的作用下所產生的序列 { xk ; k=0,1,2,3…..}是非周期的、不收斂的並對初始值非常敏感的。
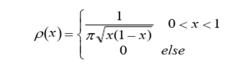
在μ=4的情況下,即Logistic-Map映射,其所生成序列的機率密度函式PDF(probability density function):
混沌系統表明此系統產生的混沌序列具有遍歷性,並且它產生序列的PDF與初始值無關,這為將混沌序列作為密鑰置換網路的映射函式提供了理論支持。
Chebyshev映射
Chebyshev 映射,以階數為參數。k 階Chebyshev 映射定義如下:
混沌系統其中 xk 的定義區間是(-1,1)。
二維混沌系統
一維離散混沌系統,具有形式簡單、產生混沌序列時間短等優點,但其缺點是密鑰空間太小。用二維超混沌系統生成的混沌序列,變換成加密因子序列。
Lyapunov指數(簡稱李氏指數),是刻畫非線性系統混沌特性的有效方法之一,李氏指數的個數與系統狀態空間的維數n相同。如果只有一個李氏指數大於零,則系統是混沌的;若至少有兩個李氏指數大於零,則系統是超混沌的。大於零的李氏指數越多,系統不穩定的程度越高。一般來說,系統的狀態量個數越多(如高維系統,對離散系統來說,n>2),它可能出現不穩定的程度越高。
形式
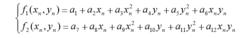
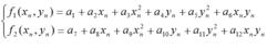
不失一般性,二維混沌離散系統有如下形式:
混沌系統其中
混沌系統式中ai (i=1,2,…12)式均為待定常係數。
採用高維系統產生超混沌,由於系統比低維情況複雜,產生超混沌時序的時間增長,將有可能直接影響保密通訊實時性的要求。因此,如何在系統狀態變數個數儘可能少而正性李氏指數又儘可能多的條件下,尋找到非線性形式簡單的系統,是十分實際而又有意義的工作。為了尋找簡單形式二維離散超混沌系統,需要進一步簡化:
混沌系統使部分非線性項前面的係數為零,然後通過計算該系統的李氏指數,即有兩個或兩個以上大於零的李氏指數,可認為該系統是超混沌特性的二維離散系統。
Henon映射
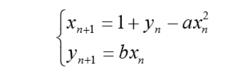
Henon映射已是被廣泛套用的一個二維混沌映射,其方程如下:
混沌系統當a∈[1.07,1.4]、b=0.3時,Henon映射存在混沌吸引子。
套用
混沌套用可分為混沌綜合和混沌分析。前者利用人工產生的混沌從混沌動力學系統中獲得可能的功能,如人工神經網路的聯想記憶等;後者分析由複雜的人工和自然系統中獲得的混沌信號並尋找隱藏的確定性規則,如時間序列數據的非線性確定性預測等 。混沌的具體的潛在套用可概括如下:
(1)最佳化:利用混沌運動的隨機性、遍歷性和規律性尋找最優點,可用於系統辨識、最優參數設計等眾多方面。
(2)神經網路:將混沌與神經網路相融合,使神經網路由最初的混沌狀態逐漸退化到一般的神經網路,利用中間過程混沌狀態的動力學特性使神經網路逃離局部極小點,從而保證全局最優,可用於聯想記憶、機器人的路徑規劃等。
(3)圖像數據壓縮:把複雜的圖像數據用一組能產生混沌吸引子的簡單動力學方程代替,這樣只需記憶存儲這一組動力學方程組的參數,其數據量比原始圖像數據大大減少,從而實現了圖像數據壓縮。
(4)高速檢索:利用混沌的遍歷性可以進行檢索,即在改變初值的同時,將要檢索的數據和剛進入混沌狀態的值相比較,檢索出接近於待檢索數據的狀態。這種方法比隨機檢索或遺傳算法具有更高的檢索速度。
(5)非線性時間序列的預測:任何一個時間序列都可以看成是一個由非線性機制確定的輸入輸出系統,如果不規則的運動現象是一種混沌現象,則通過利用混沌現象的決策論非線性技術就能高精度地進行短期預測。
(6)模式識別:利用混沌軌跡對初始條件的敏感性,有可能使系統識別出只有微小區別的不同模式。
(7)故障診斷:根據由時間序列再構成的吸引子的集合特徵和採樣時間序列數據相比較,可以進行故障診斷。

