概念提出
現代柴油機採用噴油泵和噴油器將燃油在壓縮衝程上止點前噴進汽缸,由於高壓燃油(供油壓力80 MPa~150 MPa)經細小如針孔的噴孔擠出時受到強烈的摩擦、擾動以及汽缸內壓縮空氣的阻力,燃油被粉碎成霧狀。在燃燒室中,細微的燃油被高溫壓縮空氣加熱而蒸發、與空氣形成可燃混合氣,當某處燃油達到自燃點(約335℃),燃油燃燒,放出熱量而引燃燃燒室中所有可燃混合氣。燃油在上止點前噴入汽缸到火苗出現的這段時間,稱為“滯燃期”。滯燃期內積累的燃油量在活塞位於上止點附近的一瞬間燃燒放熱,工質壓力在一瞬間上升到6 MPa~8 MPa,使理想循環可以認為這部分熱量是在定容下加入的;而火苗出現後噴入的燃油由於隨噴隨燒,此時活塞已向下止點方向運動,燃燒放熱量使汽缸在容積增大時保持定壓。理想循環可以認為這部分燃油放熱量在定壓下加入。燃燒終了時,工質溫度可達1400℃~1800℃。由於兼有定容加熱和定壓加熱過程,所以現代機械噴射柴油機的理想循環稱為混合加熱循環。燃燒過程為燃料的化學能轉變為熱能的過程。
條件
為有利於研究分析影響循環熱效率的主要因素,將實際循環簡化為理想循環。理想循環基於以下假設。
混合加熱循環
混合加熱循環
混合加熱循環
混合加熱循環(1)取消進、排氣過程,使循環中工質處於封閉系統,進行閉合循環,循環的工質質量為 ,即等於工作容積 在壓縮開始 、 狀態時的燃氣量,因為循環噴入的燃油量相對燃氣量很小,可以忽略不計。
(2)循環中工質的化學性質不變,即認為循環中不發生燃料燃燒的化學反應,而用工質從外界的定容吸熱和定壓吸熱過程替代燃油的燃燒放熱過程。
(3)忽略壓縮和膨脹過程中工質向缸壁、活塞頭部的傳熱,將壓縮與膨脹視為絕熱過程。
(4)用定容放熱過程代替排氣過程。
(5)循環為可逆,比熱為定值。
上面理想循環的假設可知,理想循環熱效率要比實際循環高,因此它可以看作實際循環熱效率的極限,為熱機工作的改進提供了依據。
特性參數
引入循環特性參數。
混合加熱循環壓縮比 ,它表示絕熱壓縮過程中工質被壓縮的程度,由柴油機結構決定。
混合加熱循環定容升壓比 λ ,它表示定容加熱量的多少,由實際循環滯燃期中積累燃油量的多少決定其大小。
混合加熱循環定壓預脹比 ,它表示絕熱膨脹前工質的膨脹程度,當定壓加熱量增大時預脹比也增大。
熱效率計算公式
混合加熱循環1-2-3-4-5-1中,工質從高溫熱源的吸熱量
混合加熱循環
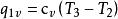
混合加熱循環式中 ——定容過程2-3中工質的吸熱量
混合加熱循環
混合加熱循環
混合加熱循環——定容過程中3-4中工質的吸熱量
混合加熱循環循環中工質向低溫熱源的放熱量為5-1過程中的定容放熱量
混合加熱循環
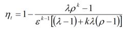
混合加熱循環將循環各特徵點的溫度寫成 與特徵參數的關係,並設 ,得循環熱效率公式
循環熱效率公式由上式可見,混合加熱循環的熱效率隨壓縮比ε增加而增加,隨定容升壓比λ增加而增加,隨定壓預脹比減小而增加。

