介紹
物理學與數學中, 洛倫茲群(英語:Lorentz group)為閔可夫斯基時空中,所有洛倫茲變換所構成的群,其涵蓋了除了重力現象以外的所有經典場。洛倫茲群是以荷蘭物理學家亨德里克·洛倫茲來命名。
以下領域的數學形式:
•狹義相對論中的運動學;
•電磁學理論中的麥克斯韋方程組;
•電子理論中的狄拉克方程。
在洛倫茲變換下皆保持不變。因此洛倫茲群展現了許多自然定律的基礎對稱性。
定義
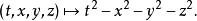
數學中,洛倫茲群可以描述為廣義正交群O(1,3),亦即 R中保持二次型的矩陣李群
洛倫茲群此二次型可以矩陣形式表示,在物理學中被詮釋為閔可夫斯基時空中的度規張量:
洛倫茲群基本性質
洛倫茲群是龐加萊群的子群。龐加萊群是閔可夫斯基時空中所有等距同構(Isometry)的群。洛倫茲變換為所有保持原點固定的等距同構。因此,洛倫茲群為閔可夫斯基時空中等距同構群的迷向子群(isotropy subgroup)。因為這個緣由,洛倫茲群有時也稱作“齊次洛倫茲群”(homogeneous Lorentz group),而龐加萊群被稱作“非齊次洛倫茲群”(inhomogeneous Lorentz group)。洛倫茲變換是線性變換的例子;閔可夫斯基時空中的廣義等距同構變換為仿射變換。
相關條目
•洛倫茲變換
•龐加萊群
•李群
