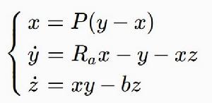
洛倫茲方程(Lorenz equation)描述空氣流體 運動的一個簡化微分方程組.1963年,美國氣象學家洛倫茲(Lorenz,E. N.)將描述大氣熱對流的非線 性偏微分方程組通過傅立葉展開,大膽地截斷而導 出描述垂直速度、上下溫差的展開係數x(t),y(t),z(t)的三維自治動力系統 :
洛倫茲方程
洛倫茲方程其中,P:為普朗特數,Ra為瑞利數.他發現當Ra 不斷增加時,系統就由定常態(表示空氣靜止)分岔 出周期態(表示對流狀態),最後,當Ra>24. 74時, 又分岔出非周期的混沌態(表示湍流).如圖是三維相空間的混沌態在二維平面上的投影軌線.從圖上 看出,軌線起初在右邊從外向內繞圈子,後來隨機地 跳到左邊從外向內繞圈子,後又再次隨機地跳回右邊繞圈子,……如此左右跳來跳去,每次繞的圈數,何時發生跳躍都是隨機的、無規則的. 由於洛倫茲是世界上第一個從確定的方程中發現了非周期的混沌現象,所以將上述方程一般稱為洛倫茲方程.

