定義與描述
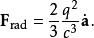
數學上,阿布拉罕-洛倫茲力可寫為:
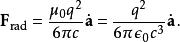
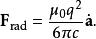
阿布拉罕-洛倫茲力
阿布拉罕-洛倫茲力
阿布拉罕-洛倫茲力其中: F是力,是加加速度(加速度的時間導數),c真空中的光速, q是電荷量。
當速度很慢時。根據拉莫爾方程,一加速電荷放出輻射,而輻射會將動量自電荷帶走。既然動量是守恆的,電荷會被推往與輻射釋放方向相反的方向。阿布拉罕-洛倫茲力即為因於輻射釋放而施加在一加速電荷上的平均力。
背景
經典電動力學中,問題通常可以分為兩類:
問題中,產生場的電荷與電流源已指定,要計算出場;
問題中,場已指定,要計算出電荷的運動。
1.問題中,產生場的電荷與電流源已指定,要計算出場;
2.問題中,場已指定,要計算出電荷的運動。
在一些物理學領域中,如電漿物理學,場由源產生,而源的運動可以自洽的解出。然而在這樣的場合中,源的運動常是從所有其他的源產生的場來計算。很少去計算一粒子(源)所產生的場,對於同一粒子造成什麼樣的運動影響。理由有兩個層次:
忽略“自身場(self-fields)”通常仍可得到足夠精確的答案,足以用在許多套用上;
包含自身場會導致物理學中目前未解決的問題,關係到物質與能量的本質。
1.忽略“自身場(self-fields)”通常仍可得到足夠精確的答案,足以用在許多套用上;
2.包含自身場會導致物理學中目前未解決的問題,關係到物質與能量的本質。
推導
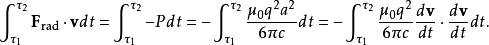
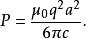
從點電荷輻射的拉莫爾方程開始:
阿布拉罕-洛倫茲力
阿布拉罕-洛倫茲力
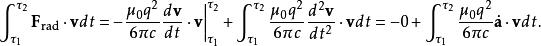
阿布拉罕-洛倫茲力如果我們假設帶電粒子的運動是周期性的,則阿布拉罕-洛倫茲力對粒子所做的功等於拉莫功率從到的積分:
阿布拉罕-洛倫茲力我們可以用分部積分法來計算以上的積分。如果我們假設運動是周期性的,則表達式的第一項為零:
阿布拉罕-洛倫茲力因此,我們有:
阿布拉罕-洛倫茲力來自未來的訊號
下面展示了一種會導致驚人結果的經典分析方法。可以看到,經典理論正在挑戰因果律的標準圖景,表明要么因果律被破壞,要么理論需要擴展。在本例中,理論的擴展包括量子力學和它的相對論版本量子場論。參考Rohrlich關於“物理學理論遵循有效性限制的重要性”的介紹。
阿布拉罕-洛倫茲力對於一個受到外力,我們有
阿布拉罕-洛倫茲力其中:
阿布拉罕-洛倫茲力公式經過整理後,可以得到:
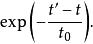
阿布拉罕-洛倫茲力這個積分從當前延續到無窮遠的未來。因而未來的作用力將影響到粒子當前的加速度。未來的數值按以下因子加權:
阿布拉罕-洛倫茲力
阿布拉罕-洛倫茲力
阿布拉罕-洛倫茲力
阿布拉罕-洛倫茲力隨著未來超過時間的增長而迅速減小。因此,大概在未來時間段內的信號會影響到當前的加速度。對於電子來說,這個時間段大約是秒,相當於光線穿越電子“尺寸”所需的時間。
相關條目
•輻射反作用力(Radiation reaction)
