人物信息
波利亞(1887.12.13-1985.9.7),美國著名數學家、教育家。1940年移居美國,先在布朗大學任教。1942年後一直在史丹福大學任教。1953年起,任該校退休教授。以他的名字命名的波利亞計數定理則是近代組合數學的重要工具。波利亞還是傑出的數學教育家,他對數學思維一般規律的研究,堪稱是對人類思想寶庫的特殊貢獻。在前人研究同分異構體計數問題的基礎上,波利亞在1937年以「關於群、圖與化學化合物的組合計算方法」為題,發表了長達110頁、在組合數學中具有深遠意義的著名論文.
波利亞的重要數學著作有《怎樣解題》、《不等式》(與哈代、李特伍德合著)、《數學的發現》多卷、《數學與猜想》多卷
背景知識
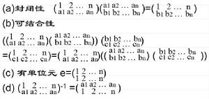
(1)群(group)的定義 :給定集合G和G上的二元運算 · ,滿足下列條件稱為群:
(a)封閉性(Closure):
若a,b∈G,則存在c∈G,使得a·b=c。
(b)結合律(Associativity):
任意a,b,c∈G,有(a·b)·c=a·(b·c)。
由於結合律成立,(a·b)·c=a·(b·c)可記做a·b·c;
(c)有單位元(Identity):
存在e∈G,任意a∈G,a·e=e·a=a。
(d)有逆元(Inverse):
任意a∈G,存在b∈G,,a·b=b·a=e.。記為b=a。
(2)置換群
置換群是最重要的有限群,所有的有限群都可以用之表示。[1,n]到自身的1-1映射稱為n階置換。n階置換共有n!個,同一置換用這樣的表示可有n!個表示法。[1,n]上的由多個置換組成的集合在置換乘法下構成一個群,則稱為置換群,證明如下:
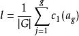
波利亞定理(3)Burnside引理
波利亞定理設G是[1,n]上的一個置換群。G是S的一個子群. k∈[1,n],G中使k元素保持不變的置換全體,稱為k不動置換類,記做Z。設G={a,a,…a}是目標集[1,n]上的置換群。每個置換都寫成不相交循環的乘積。c(a)是在置換a的作用下不動點的個數,也就是長度為1的循環的個數。G將[1,n]劃分成l個等價類。等價類個數為:l=
定理概念
波利亞定理設 是n個對象的一個置換群,C(P)是置換P的循環的個數,用m種顏色對n個對象著色, 著色方案數為:
波利亞定理區別
比較Pólya定理和Burnside引理
(1)Pólya定理中的群G是作用在n個對象上的置換群
(2)Burnside引理中的群G是對這n個對象染色後的方案集合上的置換群
(3)兩個群之間的聯繫:群G的元素,相應的在染色方案上也誘導出一個屬於G的置換p
波利亞定理(4)通過Pólya定理和Burnside引理的對比,我們可以看出:在a作用下不動的圖象正好對應p的循環節中的對象染以相同顏色得到的圖象。C(a)=m
舉例
1.等邊三角形的3個頂點用紅,藍,綠3著色,有多少種方案?
波利亞定理2.在正6面體的每個面上任意做一條對角線,有多少方案?
解: 在每個面上做一條對角線的方式有2種,可認為是面的2著色問題。但面心-面心的轉動軸轉±90時,無不動圖像象。除此之外,都有不動圖像。正六面體轉動群:面的置換表示
不動: (1)(2)(3)(4)(5)(6) (1)1個
面面中心轉±90度 (1)(4)2*3個
面面中心轉180度 (1)(2)3個
棱中對棱中轉180度 (2)6個
對角線為軸轉±120度 (3)2*4個
正六面體轉動群的階數為24
故方案數為:[26+0+3·24+8·22+6·23]/24=[8+6+4+6]/3=8
母函式型定理
Sk=(b+b+…+b),k=1,2…n
波利亞定理舉例
1.把4個球a,a,b,b放入3個不同的盒子裡,求方案數,若不允許有空盒,有多少分配方案?
解:設這4個球分別為a1,a2,b1,b2,將4個球放入3個盒子,可抽象為對4個球的三著色。
G={e,(a1a2),(b1b2),(a1a2)(b1b2)}
l=(3+2*3+3)/4=36
P(G)=((r+b+g)+2*(r+b+g)(r+b+g)+(r+b+g))/4
展開後取rbg項,i,j,k>0
rbg的係數= rbg的係數= rbg的係數= (C(4,1)*C(3,1)*C(2,2)+2*C(2,1))/4=4
故若不允許有空盒, 分配方案有4*3=12種
2.4顆紅色珠子嵌在正6面體的4個頂點上,有多少方案?
解 :當於對頂點2著色,無珠設b。
正六面體轉動群:頂點的置換表示
–不動: (1)1個
–面面中心轉±90度 (4)2*3個
–面面中心轉180度 (2)3個
–棱中對棱中轉180度(2)6個
–對角線為軸轉±120度 (1)(3)2*4個
–正六面體轉動群的階數為24
–p=[(b+r)+6(b+r)+9(b+r)+8(b+r)(b+r)]/24
方案數:求br的係數 (C(8,4)+12+9*C(4,2)+8*C(2,1)*C(2,1))/24=7
定理的推廣
波利亞定理
波利亞定理
波利亞定理
波利亞定理1. 假定 是作用於 的置換群, 是作用於 的置換群。
波利亞定理
波利亞定理
波利亞定理
波利亞定理
波利亞定理若 和 是不相交的兩個集合, ,令 作用於 ,有
波利亞定理
波利亞定理
波利亞定理換句話說,若用 表示上面的運算,它是作用於 個元素
波利亞定理
波利亞定理
波利亞定理
波利亞定理
波利亞定理
波利亞定理
波利亞定理的置換,它對 的作用屬於 的置換,對 的作用屬於 的置換。這樣的群用 來表示,群 的階應有
波利亞定理
波利亞定理
波利亞定理
波利亞定理
波利亞定理現在再來看看 和 、 的關係如何?假如 的格式為
波利亞定理
波利亞定理的格式為
波利亞定理
波利亞定理則 的格式為
波利亞定理所以
波利亞定理
波利亞定理
波利亞定理
波利亞定理
波利亞定理
波利亞定理
波利亞定理
波利亞定理2. 作用於 ,即 作用與 ,使 , 。同樣有 。
波利亞定理
波利亞定理群 的階為 。
波利亞定理
波利亞定理
波利亞定理
波利亞定理
波利亞定理
波利亞定理
波利亞定理
波利亞定理
波利亞定理
波利亞定理
波利亞定理
波利亞定理
波利亞定理
波利亞定理若存在 和 ,使得 ,有 。令 則有 ,而且 是使 成立的 的最小值。所以元素 是 中屬於群 的 -循環.這樣的 -循環數目為
波利亞定理對於一般的有:
波利亞定理
波利亞定理
波利亞定理
波利亞定理
波利亞定理其中 , , , 。

