簡介:
法拉第電容又稱超級電容器、雙電層電容器、黃金電容,是一種新型的儲能原件,它兼有物理電容器和電池的特性,能提供比物理電容器更高的能量密度,比電池具有更高的功率密度和更長的循環壽命,並且這種電容器己在工業領域實現產業化和實際套用。如在考慮到環保需要而設計開發的電動汽車和複合電動汽車的動力系統中,若單獨使用電池將無法滿足動力系統的要求,然而將高功率密度電化學電容器與高能量密度電池並聯組成的混合電源系統既滿足了高功率密度的需要,又滿足了高能量回收的需要。高能量密度、高功率密度的電化學電容器正在成為人們研究的熱點。
1. 法拉第電容的結構
法拉第電容結構上的具體細節依賴於對法拉第電容的套用和使用。由於製造商或特定的套用需求,這些材料可能略有不同。所有法拉第電容的共性是,他們都包含一個正極,一個負極,及這兩個電極之間的隔膜,電解液填補由這兩個電極和隔膜分離出來的兩個的孔隙。
法拉第電容的結構如圖1所示.是由高比表面積的多孔電極材料、集流體、多孔性電池隔膜及電解液組成。電極材料與集流體之間要緊密相連,以減小接觸電阻;隔膜應滿足具有儘可能高的離子電導和儘可能低的電子電導的條件,一般為纖維結構的電子絕緣材料,如聚丙烯膜。電解液的類型根據電極材料的性質進行選擇。
圖1 法拉第電容的基本結構上圖中各部分為:(1):聚四氟乙烯載體;(2)(4):活性物質壓在泡沫鎳集電極上;(3):聚丙烯電池隔膜。
法拉第電容的部件從產品到產品可以有所不同。這是由法拉第電容包裝的幾何結構決定的。對於棱形或正方形封裝產品部件的擺放,內部結構是基於對內部部件的設定,即內部集電極是從每個電極的堆疊中擠出。這些集電極焊盤將被焊接到終端,從而擴展電容器外的電流路徑。
對於圓形或圓柱形封裝的產品,電極切割成捲軸方式配置。最後將電極箔焊接到終端,使外部的電容電流路徑擴展。
超級電容器電極法拉第電容器電極2. 法拉第電容的工作原理
由於儲能機理的不同,人們將法拉第電容分為:(1)基於高比表面積電極材料與溶液問界面雙電層原理的雙電層電容器;(2)基於電化學欠電位沉積或氧化還原法拉第過程的贗電容器。贗電容與雙電層電容的形成機理不同,但並不相互排斥。大比表面積準電容電極的充放電過程會形成雙電層電容,雙電層電容電極(如多孔炭)的充放電過程往往伴隨有贗電容氧化還原過程發生,實際的電化學電容通常是兩者共存的巨觀體現,要確認的只是何者占主要的問題。實踐過程中,人們為了達到提高電容器的性能,降低成本的目的,經常將贗電容電極材料和雙電層電容電極材料混合使用,製成所謂的混合電化學電容器。混合電化學電容器可分為兩類,一類是電容器的一個電極採用贗電容電極材料,另一個電極採用雙電層電容電極材料,製成不對稱電容器,這樣可以拓寬電容器的使用電壓範圍,提高能量密度;另一類是贗電容電極材料和雙電層電容電極材料混合組成複合電極,製備對稱電容器。
(1)雙電層電容器
一對浸在電解質溶液中的固體電極在外加電場的作用下,在電極表面與電解質接觸的界面電荷會重新分布、排列。作為補償,帶正電的正電極吸引電解液中的負離子,負極吸引電解液中的正離子,從而在電極表面形成緊密的雙電層,由此產塵的電容稱為雙電層電容。雙電層是由相距為原子尺寸的微小距離的兩個相反電荷層構成,這兩個相對的電荷層就像平板電容器的兩個平板一樣。Helmholtz首次提出此模型。如圖2所示。
能量是以電荷的形式存儲在電極材料的界面。充電時,電子通過外加電源從正極流向負極,同時,正負離子從溶液體相中分離並分別移動到電極表面,形成雙電層;充電結束後,電極上的正負電荷與溶液中的相反電荷離子相吸引而使雙電層穩定,在正負極間產生相對穩定的電位差。在放電時,電子通過負載從負極流到正極,在外電路中產生電流,正負離子從電極表面被釋放進入溶液體相呈電中性。
雙層電容器工作原理對於一個對稱的電容器(相同的電極材料),電容值為:
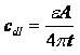
公式1C1和C2分別為兩個電極的電容值。單電極的電容計算公式:
公式2其中:ε為雙電層中的介電常數,A為電極的表面積,t是雙電層的厚度。
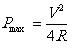
雙電層的能量及功率密度可通過下式分別計算得到(R為等效電阻):
公式3
公式4根據以上兩個公式可知:電容器工作電壓的增大可以顯著地提高功率密度和能量密度。
(2)法拉第贗電容器
法拉第贗電容器也叫法拉第準電容,是在電極表面活體相中的二維或三維空間上,電活性物質進行欠電位沉積,發生高度可逆的化學吸附或氧化還原反應,產生與電極充電電位有關的電容。這種電極系統的電壓隨電荷轉移的量呈線性變化,表現出電容特徵,故稱為“準電容”,是作為雙電層型電容器的一種補充形式。法拉第準電容的充放電機理為:電解液中的離子(一般為H+或OH-)在外加電場的作用下向溶液中擴散到電極/溶液界面,而後通過界面的電化學反應進入到電極表面活性氧化物的體相中;若電極材料是具有較大比表面積的氧化物,就會有相當多的這樣的電化學反應發生,大量的電荷就被存儲在電極中。放電時這些進入氧化物中的離子又會重新回到電解液中,同時所存儲的電荷通過外電路釋放出來。
在電極的比表面積相同的情況下,由於法拉第贗電容器的電容在電極中是由無數微等效電容電路的網路形式形成的,其電容量直接與電極中的法拉第電量有關,所以法拉第贗電容器的比電容是雙電層電容器的10—100倍,目前對法拉第贗電容的研究工作成為一個重點開展的方向。

