基本形式
其基本形式為(單位為高斯單位制)
泊松-玻爾茲曼方程
泊松-玻爾茲曼方程
泊松-玻爾茲曼方程
泊松-玻爾茲曼方程
泊松-玻爾茲曼方程
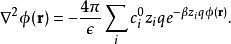
泊松-玻爾茲曼方程其中, 是體系的電勢,是溶液的介電常數, 和分別為第 種離子的體相濃度和電荷, , 其中 是玻爾茲曼常數。該方程的雛形最早出現於雙電層理論的Gouy-Chapman模型中,在這個模型中離子在電極表面附近的分布被認為是遵從玻爾茲曼分布。如今該方程被廣泛運用於各種電解質溶液體系性質的計算和分子模擬中,特別是生物體系中各種大分子(例如核酸和蛋白質)在溶液中電荷分布和溶解自由能的計算。
原理
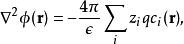
泊松-玻爾茲曼方程實際上是通過對體系的平均力勢能(Potential of Mean Force, PMF)作平均場近似而得到。從電解質溶液體系的泊松方程出發
泊松-玻爾茲曼方程
泊松-玻爾茲曼方程
泊松-玻爾茲曼方程而第 種離子的濃度函式 可以寫成
泊松-玻爾茲曼方程
泊松-玻爾茲曼方程
泊松-玻爾茲曼方程其中 即為第 種離子的平均力勢能。在平均場近似中,忽略離子間的關聯,令平均力勢能近似等於該離子的電勢能
泊松-玻爾茲曼方程,
即得到泊松-玻爾茲曼方程。
求解
泊松-玻爾茲曼方程是一個非線性偏微分方程,除了在特定簡化體系(如Gouy-Chapman模型)中能求得解析解外,一般採用數值解法,例如有限差分法或者有限元方法,常用的求解泊松-玻爾茲曼方程的軟體包括APBS, Zap, MIBPB, AFMPB等。
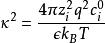
泊松-玻爾茲曼方程當離子的電勢能絕對值較小時,即 時,可以把泊松-玻爾茲曼方程中的指數項僅展開到一階
泊松-玻爾茲曼方程,
即可得到德拜-休克爾方程(Debye-Hückel Equation、
泊松-玻爾茲曼方程
泊松-玻爾茲曼方程其中 。德拜-休克爾方程是一個線性偏微分方程,易於求解。在稀溶液中,德拜-休克爾方程對於泊松-玻爾茲曼方程而言是很好的近似。
套用與局限
泊松-玻爾茲曼方程的優勢在於將溶液中的水簡化為具有均一介電常數的電介質,這種隱式溶劑(Implicit Solvent)的處理方法極大地簡化了生物大分子溶液體系中的模擬和計算。例如,在生物大分子溶液的分子動力學模擬中,體系可以只包含生物大分子,而忽略水分子和其他離子,並採用泊松-玻爾茲曼方程來獲得大分子的受力。類似地,對於溶解自由能的計算,來自溶劑的貢獻可以使用廣義玻恩模型(Generalized Born Model)來處理,而離子的貢獻則可以採用泊松-玻爾茲曼方程 。
泊松-玻爾茲曼方程的缺點在於其所使用的平均場近似,當溶液中出現一定濃度高價離子導致離子間相互作用和關聯增強,泊松-玻爾茲曼方程的解將無法解釋一些由關聯所產生的現象,比如帶相同電荷的物體在高價鹽溶液中相互吸引,以及帶電膠體在高價鹽溶液中的電泳呈現電荷反轉,這些現象必須考慮離子間的關聯才能得到合理解釋 。
