氣象改正概念
在全站儀和測距儀中,一般利用光波進行測距,首先儀器會處理測距光波的相位漂移引起才測距誤差。但實際套用中因為光波在大氣中穿透受大氣溫度、氣壓、大氣成分變化(特別是二氧化碳濃度影響)、密度、大氣濕度等客觀條件的影響,所測距離要經過相關氣象條件改正才能得到正確的真值。這裡主要是針對載波而言。
一般情況下只改正大氣溫度、大氣壓力和大氣濕度對測距的影響。
相關氣象條件
‍(1)大氣溫度
攝氏溫度(℃‍):將純水的冰點定為0℃,以標準大氣壓壓純水的沸點定位100℃,並將兩者之間溫差等分100份每等份代表1℃。我國採用攝氏溫度計量單位。
華氏溫度(F‍):將純水的冰點定為32F,以標準大氣壓壓純水的沸點定位212F,並將兩者之間溫差等分180份每等份代表1F。
絕對溫度(K‍):規定攝氏0℃為273.15K。 分度法與攝氏溫度相同。
以上三種溫度標換算關係:℃=5/9(F-32);K=℃+273.15
(2)大氣壓力
單位面積所受的大氣重量壓力即大氣壓。國標單位是帕斯卡(Pa)。另外還使用mmHg以及mb。
1mmHg=1.33322mb≈‍4/3mb 1mb=100Pa
(3)大氣濕度
在大氣壓力中有水汽產生的一部分壓力,就是水汽壓(e)。在一定的溫度下一定體積的空氣中所容納的最大水汽量就是飽和濕度;此時空氣中的水汽壓就是飽和水汽壓(E)。
絕對濕度(a):單位體積空氣中所含的水汽質量。a=289×‍e/T(單位是g/m3),T是大氣絕對溫度(K)
相對濕度(h):空氣中實際水汽壓(e)與同溫度下飽和水汽壓(E)比值稱為相對濕度。h=e/E×‍100%
氣象改正公式
對於不同型號全站儀或者測距儀而言,由於採用載波光源的波長不同、加上各廠家對使用的相關氣象條件單位不同,最終各廠家的不同型號產品的氣象改正公式有所不同。
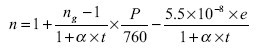
根據國際大地測量協會第十三次會議的決議,實際氣象條件下調製光折射率n的計算公式為
‍

‍
式中a=1/273.16為空氣膨脹係數;t為實際大氣乾溫單位℃‍;P為大氣壓單位mmHg;e為實際水汽壓單位mmHg;ng為標準氣象條件(t=0℃‍,P=760mmHg,e=0mmHg)下調製光的折射率:
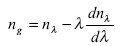
‍

‍
其中λ‍為單色光波長,單位微米(μ‍m);nλ‍為單色非調製光在標準氣象條件下的折射率:

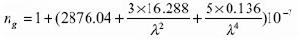
‍
‍
‍‍

‍

‍
‍
例如:SOKKIA全站儀採用λ‍=860nm=0.86μ‍m,代如以上公式可求出氣象改正公式如下:
‍

改正後的距離為:

採用其它波長測距的儀器也可用同樣算法得出相應改正公式。
