噴氣式飛機的大量出現引起嚴重的氣動噪聲污染,導致了對氣動噪聲的認真研究,氣動噪聲伴隨出現脈動聲壓。高速飛機表面湍流邊界層(見邊界層〉所發出的噪聲和伴隨而來的脈動聲壓,不但使乘客感到不舒服,還使飛機蒙皮承受疲勞應力,甚至遭到破壞。控制氣動噪聲,已成為設計現代高速飛機和高速氣流設備必須考慮的問題。
英國人M.J.萊特希爾於1952年首先提出關於空氣動力聲的基本理論,並把它套用於亞聲速湍流射流的研究,獲得很好的結果。他所研究的問題是:在原為靜止的無限範圍氣體中的一個有限區域存在湍流時,空氣動力聲的產生和傳播 。他將描述氣體運動的質量和動量方程。
氣動躁聲改寫為:
氣動躁聲
氣動躁聲
氣動躁聲
氣動躁聲
氣動躁聲
氣動躁聲
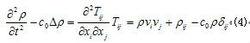
氣動躁聲式中t為時間,為空間坐標;和分別為氣體的密度、速度和應力張量;為未擾氣體的聲速:△為拉普拉斯算符;為萊特希爾湍流應力張量,它的表達式為:
氣動躁聲
氣動躁聲
氣動躁聲
氣動躁聲
氣動躁聲當時,;當時,。
在式(3)右邊為已知的條件下,該式為非齊次的波動方程,也就是聲學中描述聲場的方程。利用經典聲學中的解法,可求得該式的解,因而這種理論被相應地稱為聲學比擬理論。
氣動躁聲
氣動躁聲
氣動躁聲
氣動躁聲
氣動躁聲
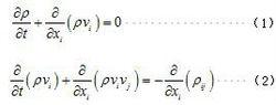
氣動躁聲要準確知道,必須解出(2),但這對於一般有實用價值的問題目前做不到,而只能求出的近似表達式。 例如在低速射流中,射流以外的區域=0,在射流內近似等於(式中為未擾氣體的密度),而則可依據某種湍流理論近似得出。
氣動躁聲
氣動躁聲
氣動躁聲
氣動躁聲
氣動躁聲研究氣動噪聲的目的在於找出降低這種噪聲的方法。按照萊特希爾的理論,對亞聲速射流,聲功率與噴管出口處的平均速度的八次方成正比,而推力只與的平方成正比,因此,如能略微減小,就可以顯著降低或氣動噪聲。渦輪風扇發動機用略微減小、犧牲一點推力的方法可以很好地解決氣動噪聲問題。
