定理
比值審斂法設為正項級數,其中每一項皆為非 0 的實數或複數,如果
比值審斂法•當ρ<1時級數收斂
•當ρ>1時級數發散
•當ρ=1時級數可能收斂也可能發散
例子
考慮級數
比值審斂法
比值審斂法
比值審斂法=
因此該級數收斂。
發散
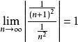
考慮級數
比值審斂法
比值審斂法
比值審斂法=
因此該級數發散。
不能確定
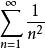
級數
比值審斂法發散,但
比值審斂法而級數
比值審斂法收斂,但
比值審斂法比值審斂法是判別級數斂散性的一種方法,又稱為達朗貝爾判別法(D'Alembert's test)。
比值審斂法設為正項級數,其中每一項皆為非 0 的實數或複數,如果
比值審斂法•當ρ<1時級數收斂
•當ρ>1時級數發散
•當ρ=1時級數可能收斂也可能發散
考慮級數
比值審斂法
比值審斂法
比值審斂法=
因此該級數收斂。
考慮級數
比值審斂法
比值審斂法
比值審斂法=
因此該級數發散。
級數
比值審斂法發散,但
比值審斂法而級數
比值審斂法收斂,但
比值審斂法達朗貝爾判別法,又稱比值判別法,是用來判別級數斂散性的一種方法,是由法國著名的物理學家、數學家和天文學家讓·勒朗·達朗貝爾提出。
陳述 證明眼科診法,即望、聞、問、切四診法在診察眼病時的具體運用,其中尤重望診與問診。問診主要是詢問與眼病有關的病史及自覺症狀,它包括跟部與全身的臨床症狀。望診的...
眼科問診 眼科檢查法 文獻摘要函式凹凸性定義51 函式拐點定義52 函式凹凸性判別法53... 第6章 定積分套用83 6.1 定積分元素法83 定積分元素法83 6.2 幾何套用84 (1)平面圖形面積84 直角...
圖書信息 內容簡介 圖書目錄或者是無窮大。進一步使,利用根值審斂法,就有如下結果: 無窮級數 無窮...判斷,由此我們可以得到一系列的斂散性判別法。比較比較審斂法:⑴一個正項...,則級數收斂。如果,則本判別法無法進行判斷。根值根值審斂法: 無窮級數...
概述 歷史 記號 性質 冪級數的概念二、級數的基本性質三、級數收斂的必要條件14.2正項級數的審斂法一、比較審斂法二、比值審斂法[達朗貝爾(D′Alembert)判別法]三、根值審斂法[柯西(Cauchy)判別法]14.3任意項級數的審斂法一、交錯...
9.2.2正項級數的比較審斂法9.2.3正項級數的比值審斂法和根值審斂法*9.2.4正項級數的積分審斂法習題9.29.3任意項級數9.3.1交錯級數及其審斂法9.3.2絕對收斂與條件收斂習題9.39.4冪級數...
圖書目錄 作者信息正項級數及審斂法一、正項級數的概念二、比較審斂法三、比值審斂法第三節 任意項級數及審斂法一、交錯級數二、絕對收斂與條件收斂第四節 函式項級數...判別法二、曲線的拐點第七節 函式圖形的描繪一、曲線的漸近線二、描繪函式圖形...
目錄 內容提要 參考資料11.2 正項級數審斂法 11.2.1 比較審斂法 11.2.2 比值審斂法 11.2.3 根值審斂法 11.3 一般常數... 條件極值(conditionalextremum)Lagrange乘數法...
圖書信息 內容簡介 目錄級數的基本性質170【習題101】171第二節數項級數的審斂法171一、比較審斂法172二、比值審斂法 172【習題102】173第三節冪級數...第一節函式的概念1一、函式的概念及其定義域的求法1二、函式的表示法3【習題1...
內容介紹 讀者對象 目錄