簡介
比如,複數阻抗可以歸一化書寫:Z=R+jωL=R(1+jωL/R)注意複數部分變成了純數量了,沒有任何量綱。另外,微波之中也就是電路分析、信號系統、電磁波傳輸等,有很多運算都可以如此處理,既保證了運算的便捷,又能凸現出物理量的本質含義。
在統計學中,歸一化的具體作用是歸納統一樣本的統計分布性。歸一化在0-1之間是統計的機率分布,歸一化在-1--+1之間是統計的坐標分布。即該函式在(-∞,+∞)的積分為1 例如機率中的密度函式就滿足歸一化條件 歸一化是一種無量綱處理手段,使物理系統數值的絕對值變成某種相對值關係。簡化計算,縮小量值的有效辦法。例如,濾波器中各個頻率值以截止頻率作歸一化後,頻率都是截止頻率的相對值,沒有了量綱。阻抗以電源內阻作歸一化後,各個阻抗都成了一種相對阻抗值,“歐姆”這個量綱也沒有了。等各種運算都結束後,反歸一化一切都復員了。信號處理工具箱中經常使用的是nyquist頻率,它被定義為採樣頻率的一半,在濾波器的階數選擇和設計中的截止頻率均使用nyquist頻率進行歸一化處理。例如對於一個採樣頻率為1000hz的系統,400hz的歸一化頻率就為400/500=0.8。歸一化頻率範圍在[0,1]之間。如果將歸一化頻率轉換為角頻率,則將歸一化頻率乘以pi;如果將歸一化頻率轉換為hz,則將歸一化頻率乘以採樣頻率的一半。
歸一化導引
一般而言,波函式是一個複函數。可是,機率密度是一個實函式,空間內積分和為1,稱為 機率密度函式。所以,在區域內,找到粒子的機率是1。
既然粒子存在於空間,因此在空間內找到粒子機率是1。所以,積分於整個空間將得到1。
假若,從解析 薛丁格方程而得到的波函式,其機率是有限的,但不等於,則可以將波函式乘以一個常數,使機率等於1。或者,假若波函式內,已經有一個任意常數,可以設定這任意常數的值,使機率等於1。
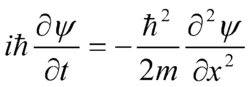
薛丁格方程的形式不變
薛丁格方程為
其中,是約化普朗克常數,是位勢,是能量。
歸一化將波函式歸一化為。則薛丁格方程成為
。
薛丁格方程的形式不變。對於歸一化,薛丁格方程是個不變式,因為薛丁格方程是個線性微分方程。
一個表達粒子量子態的波函式,必須滿足粒子的薛丁格方程。既然和都能夠滿足同樣的薛丁格方程,它們必定都表達同樣的量子態。假若不使用歸一化的波函式,則只能知道機率的相對大小;否則,使用歸一化的波函式,可以知道絕對的機率。這對於量子問題的解析,會提供許多便利。
歸一化恆定性
給予一個歸一化的波函式.隨著時間的變化,波函式也會改變.假若,隨著時間改變的波函式不再滿足歸一條件,則勢必要重新將波函式歸一化.這樣,歸一常數變的相依於時間.很幸運地,滿足薛丁格方程的波函式的歸一性是恆定的.設定波函式滿足薛丁格方程與歸一條件:
,
;
假若,歸一性是恆定的,則機率不相依於時間。為了顯示這一點,先計算:
。
展開被積函式
。
編排薛丁格方程,可以得到波函式隨時間的偏導數:
。
共軛波函式隨時間的偏導數為
。
將與代入被積函式
。
代入的方程:
。
可是,在,與都等於 0 .所以,
。
機率不相依於時間。波函式的歸一化是恆定的。

