定義
正規化子
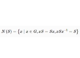
正規化子設 是群 的一個子集,稱
正規化子
正規化子
正規化子
正規化子
正規化子為 在 中的 正規化子,元素的正規化子記為 。
相關定理
定理1
正規化子
正規化子設 是群 的任一非空子集,則
正規化子(1)
正規化子
正規化子
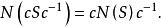
正規化子(2) 當 時, 且 。
正規化子
正規化子
正規化子
正規化子
正規化子證明(1)因為 ,故 非空,又在 中任取x,y,則 , ,從而
正規化子
正規化子
正規化子
正規化子
正規化子即 , ,故 。
正規化子
正規化子(2)任取 ,由於H是子群,故 從而
正規化子
正規化子
正規化子
正規化子又任取 ,則 ,從而 。
正規化子
正規化子
正規化子如果 ,則對K中任意元素k便有 ,從而便有 ,即
正規化子
正規化子
正規化子這就是說子群的正規化子 (也叫H的正規化群)是 中以H作為其正規子群的最大子群。
正規化子
正規化子
正規化子
正規化子
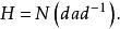
正規化子顯然子群H的正規化子是整個群 若且唯若H是群 的一個正規子群,另外也可能出現另一種極端,即 ,例如三次對稱群 的子群 就屬於這種情況。
定理2
正規化子
正規化子
正規化子
正規化子
正規化子
正規化子設 是群 的一個非空子集, 為 在 中的正規化子,則 中與共軛的子集數等於
正規化子
正規化子
正規化子,即S的所有共軛子集與 關於 的所有陪集間可建立雙射。
證明 令是中含的共軛子集類(即與共軛的全體子集),再令
正規化子
正規化子
正規化子若 ,則便有 ,從而
正規化子
正規化子
正規化子
正規化子即 是M到 的左陪集的一個映射,又易知 還是滿射和單射,從而為雙射。
定理3
pq階群(p,q為素數且p<q)有唯一的q階正規子群。
定理4
正規化子
正規化子
正規化子
正規化子
正規化子引理 設 ,是群 的兩個共軛子群,且 , ,則
正規化子即
正規化子
正規化子
正規化子
正規化子
正規化子定理 設 是群 的一個共軛元素類,則 中各元素的正規化子作成的集合恰好是 的一個共軛子群類。
正規化子
正規化子證明 任取 ,且設 ,由引理有
正規化子
正規化子
正規化子又設子群H與 共軛,其中 ,令
正規化子則由引理知
正規化子
正規化子
正規化子
正規化子但是 ,即與 共軛的子群必為 中某元素的正規化子。
定理5
正規化子
正規化子如果群 中有一個具有限指數(大於1)的子群,則在 中必有一個具有限指數(大於1)的正規子群。

