數學模型
正交因子模型
正交因子模型
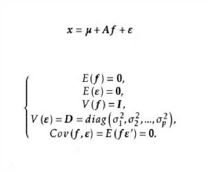
正交因子模型設有p維可觀測的隨機向量 ,其均值為 ,協方差矩陣為 。因子分析的一般模型為
正交因子模型
正交因子模型
正交因子模型
正交因子模型
正交因子模型
正交因子模型
正交因子模型
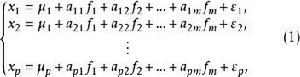
正交因子模型其中 為公共因子, 為特殊因子,它們都是不可觀測的隨機變數。公共因子 出現在每一個原始變數 的表達式中,可理解為原始變數共同具有的公共因素;每個公共因子 一般至少對兩個原始變數有作用,否則可考慮將它歸人特殊因子。每個特殊因子 僅僅出現在與之相應的第i個原始變數 的表達式中,它只對這個原始變數有作用。(1)式可用矩陣、向量表示為
正交因子模型
正交因子模型
正交因子模型
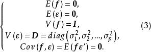
正交因子模型式中 為公共因子向量, 為特殊因子向量, 稱為 因子載荷矩陣。通常假定
正交因子模型該假定和關係式(2)構成了 正交因子模型。由上述假定可以看出,公共因子彼此不相關且具有單位方差,特殊因子也彼此不相關且和公共因子也不相關。
正交因子模型的性質
正交因子模型
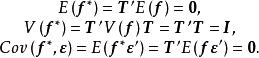
正交因子模型1. 的協方差矩陣 的分解
由(2)、(3)知
正交因子模型
正交因子模型
正交因子模型這就是 的一個分解。如果 A只有少數幾列,則上述分解式揭示了 的一個簡單結構。由
正交因子模型於 D是對角矩陣,故 的非對角線元素可由 A的元素確定,即因子載荷完全決定了原始變數
正交因子模型
正交因子模型之間的協方差。如果 為各分量已標準化了的隨機向量,則 就是相關矩陣 R,即有
正交因子模型
正交因子模型
正交因子模型
正交因子模型
正交因子模型分解式(4)是在 滿足正交因子模型的假定下推導出的,而對一般未作此假定的 ,(4)式是不容易準確得到的。當m=p時,任何協方差矩陣 均可按(4)式進行分解,如可取 ,但此時的分解對因子分析來說是毫無意義的,因為進行因子分析的目的就是要降維。在因子分析的大多數套用中,出於降維的需要,我們希望m要比p小得多,通常只能使這種分解近似成立,近似程度越好,表明因子模型擬合得越佳。
2.模型不受單位的影響
正交因子模型
正交因子模型
正交因子模型
正交因子模型將 的單位作變化,通常是作一變換 ,這裡 C=diag( ), ,於是
正交因子模型
正交因子模型令 ,則有
正交因子模型這個模型能滿足完全類似於(3)式的假定,即
正交因子模型
正交因子模型其中 。因此,單位變換後新的模型仍為正交因子模型。
3.因子載荷是不唯一的
正交因子模型設 T為任一m×m正交矩陣,令 ,則模型(2)能表示為
正交因子模型因為
正交因子模型
正交因子模型所以仍滿足條件(3)。從(4)或(6)式都可看出, 也可分解為
正交因子模型顯然,因子載荷矩陣 A不是唯一的,在實際套用中常常利用這一-點,通過因子的旋轉使得新的因子有更好的實際意義。

