噪聲因子定義
開發部分析因設計正交表的Taguchi,將實驗過程中影響因子分為兩種:控制因子和噪聲因子。前者是可以控制的設計和過程參數,後者在動態設計中會導致系統或產品的性能發生變異,但無法在生產或產品使用過程中控制,或者控制起來非常難,而且成本高。但是噪聲因子可以在試驗中控制或模擬,使變異發生,然後從結果中找出可使過程或產品對噪聲因子引起的變異具有抵抗力或能保持穩健的最佳控制因子的設定。
常見的噪聲因子類型包括:(1)外部:環境因素、客戶使用等;(2) 生產變異:部件間變異;(3)產品退化:因為使用和環境作用而導致的性能下降
在雪崩光電二極體中,噪聲一般來源於雪崩倍增過程中的隨機特性,亦即在耗盡區內的一特定距離,所產生的每一電子空穴對所經歷的倍增都不相同。雪崩噪聲與電離率之比有關,此比例越小,雪崩噪聲就越小。
噪聲因子
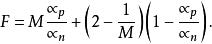
噪聲因子為了使雪崩噪聲降至最小,必須使用與差異很大的半導體,其噪聲因子(noise factor)為
噪聲因子
噪聲因子
噪聲因子
噪聲因子
噪聲因子其中M為倍增因子,由上式可知當=時,噪聲因子為最大值M,當/=0且M很大時,會有一個最小的噪聲因子值為2 。
噪聲因子設計
設計策略
基於並行工程思想的參數和公差經濟性設計,以成本為最佳化目標來確定最優的設計參數和公差範圍。 就並行參數和公差設計通過雙回響曲面均值和方差模型實現其穩健性,本文提出了包含噪聲因子的回響曲面建模策略,套用這一模型將參數和公差同時最佳化。 該參數和公差經濟性設計最佳化模型以質量損失和製造成本之和為目標函式,以過程方差置信域為約束。 實例結果表明,在雙回響曲面方法中,對均值設定偏倚量比其剛性約束具有較大的成本優勢,在不降低穩健性的前提下引入偏倚可以降低成本。 面向噪聲因子的設計策略其成本低於基於雙回響的有偏倚的設計,說明考慮噪聲因子的設計是最有效的。公差設計通過科學地分配公差來設計重要的子系統和零部件,從而使得產品在製造過程乃至整個生命周期的成本達到最低。 穩健參數設計( 簡稱參數設計) 作為統計工程的一種方法,其目的是使得整個系統( 1 件產品或 1 個生產過程) 的性能波動最小,即對噪聲變化的靈敏度最小,一般通過控制因子的水平組合來實現這一目的。序貫性和最佳化性能是回響曲面方法( responsesurface methodology,RSM) 的兩大優勢,正是這兩個優勢使得 RSM 成為解釋過程和變數作用的最理想的方法,能夠在設計的早期階段尤其是不確定的設計環境中消除產品生命周期潛在的問題。 因此基於 RSM 來開發穩健的設計方法是實現穩健性的重要而有效的途徑。
設計模型
當同一實驗的擬合模型同時包含可控變數與噪聲變數時,這一模型通常被稱為回響模型( re-sponse model,RM) 方法。 很多學者對 RM 做了大量的卓越工作,目前的研究已經表明由聯合正交表方法進行的實驗設計要比田口所倡導的直積正交表方法更經濟、更有效。 當實驗的輸出與輸入是高階多項式時,回響模型方法避免了不必要的主效應估計的偏差,而這些偏差在利用田口方法進行設計與分析時有時無法避免。研究指出參數設計的最佳化方案依賴於設計參數的公差,而且兩個設計階段應該同時進行或者疊代解決才能尋找到最經濟的參數和公差。雖然提出了設計公差和製造公差並行設計的方法,但沒有回答結果是否穩健或者最優,Li和 Kim提出了稱之為整合設計的經濟方法,這一方法是指參數和容差設計同時進行,這一方法與田口的序貫設計相比總成本大大減少了,但要求回響函式必須已知,而且將公差設為傳統的 ± 3σ,這不僅在套用上受到了限制,而且沒有面向可製造性設計。 Jeang以質量損為目標討論了參數和公差並行設計的方法,缺少對全過程成本的測量。 宗志宇等對多質量特性的產品進行了參數與容差的並行設計,但不是基於 RM 方法來操作的。 理想的公差設計應該同時考慮產品的參數設計和公差設計,沒有公差設計,參數設計的結果就不能保證是最優的。在產品設計中,設計因子是可控的確定性變數。 因此,回響的變異僅來自外部噪聲因子導致的隨機變異,應嚴格區分噪聲因子與可控因子。 在過程設計中,設計的控制因子可能同時也是噪聲因子,因此,轉化到回響中的變異包括隨機和系統變異兩部分。 這樣對於過程穩健設計來說,設計因子僅僅在長期均值上具有確定意義的可控性。因此有學者套用置信域來最佳化帶有噪聲因子的回響曲 面,或 者 利 用 RSM 將 方 差 轉 換 方 程( VTE) 結合到公差設計中,以求在質量和成本間取得滿意的平衡; 也有利用隨機回響曲面模型來最佳化過程參數並預測由於噪聲因子波動造成的過程公差。 基於 RSM 進行參數和公差設計的研究中,最有影響的是 Jeang A,其研究涉及了從田口公差設計思想的運用到充分利用實驗設計、雙回響曲面方法( DRSM) 以及計算機實驗和模擬。在開發模型的過程中通常過於重視過程的最佳化及其結果,實際上如果對過程及其變數的相互作用越了解、越重視,就會對過程實現更有效的管理,從而所謂的最佳化結果就不再那么重要了。 在實際中,工程師或者科學研究者總可以發現有時所推薦的最佳化條件並不符合實際情況,對設計空間的全部因子進行研究反而會找到更合適的操作條件,因此如果不考慮噪聲因子的作用,就極有可能將最穩健的設計排除在外。基於 RSM 進行並行參數和公差設計的文獻較多,但鮮見有利用回響模型的建模策略來進行參數和公差經濟性設計,並能夠在設計中考慮噪聲因子的影響,以過程方差穩健域為約束來求解。
設計穩定性
首先利用雙回響模型方法建立參數和公差設計模型,然後建立回響模型策略下的最佳化模型,以期給出考慮噪聲因子的設計策略,為參數和公差經濟性設計提供方法,同時也期望通過實例分析來證明包含噪聲因子的建模策略的優勢。通過實例分析可以看出,在基於 RSM 雙回響的參數和公差經濟型設計的所有策略中,所達到的穩健性是基本相同的,而最佳化成本則考慮偏倚比不考慮偏倚更低。 由於套用噪聲因子方差置信域來尋求最優點,考慮噪聲因子的設計應該比基於 DRSM 的設計更穩健。從普遍意義上來說,均值的剛性約束有可能使得因子的取值超出範圍,雖然在設計域內,但成本最高,從而說明剛性約束的局限性。 引入少量的偏倚會降低成本,也就是說,在 DRSM 中基於均值置信域約束內的偏倚量結果是最優的。 當偏倚超出置信域範圍時,就有可能引起成本增加,但比均值的剛性約束要好,總而言之,在不降低穩健性的前提下引入偏倚可以降低成本。 面向噪聲因子的設計其成本相對於基於 DRSM 的有偏倚的設計有所降低,這說明考慮噪聲因子的設計是最有效的。與以往套用 DRSM 建模策略來最佳化成本的設計相比,本文套用了回響模型的建模策略,把利用過程方差置信域把噪聲因子的影響引入設計約束中,使得具有經濟性結果的穩健點是全局的,而不像參數設計中可能是局部的。 同時這一結果面向過程( 產品設計過程和製造過程) 而不是面向產品設計。 將尚未發現回響模型套用到參數和公差設計中進行經濟性設計的研究,而利用過程方差置信域作為最佳化約束來尋找設計空間的全局的經濟性穩健點也是本文的創新之處。公差設計考慮噪聲因子更符合實際,因為控制因子是否對方差有影響是受到隨機噪聲因子作用的,如果沒有噪聲因子,則方差的一致性假設一般應該是成立的,但是這只是理想狀況,因為變異無處不在,用公差代替噪聲因子能夠綜合考慮各種噪聲來源的影響,從而使得設計更穩健。 另一方面,公差考慮了製造過程和製造成本,因而這一設計所面向的過程更廣泛,而參數設計只是針對設計過程,與製造過程沒有關係。 一個產品即使在參數設計階段所設計的參數滿足了性能要求,但是如果沒有考慮過程噪聲因子和成本因素,設計的現實套用價值就值得商榷。 而考慮噪聲因子的參數和公差經濟性設計建模策略有效地解決了上述問題,同時由於所有設計模型均從一般參數設計導出,沒有特殊條件,故只要參數設計適用的範圍,這些模型均可套用。
噪聲因子最佳化
多元損失函式法
採用多元損失函式法,對噪聲因子存在下的多回響穩健性參數設計進行了最佳化。該方法考慮了噪聲因子的影響,結合回響期望值和回響方差,其中回響方差結合了噪聲因子產生的方差和擬合模型的預測方差,給出了綜合方差的無偏估計,使解決方案對噪聲因子和參數估計的不確定性都具有穩健性,避免了方差出現非正定的可能性。採用該方法對實例進行分析,得到較好的最佳化結果。產品的質量首先是設計出來的,因而產品設計對產品質量有著決定性的影響。在產品設計過程中,一方面要考慮可控因素對產品質量的影響,另一方面,要使產品質量特性的變異對噪聲的變異不敏感,即達到穩健性。在穩健性設計中假定噪聲因子在實驗中是可控的,但在實際操作中,它們卻是隨機變化的。
可控噪聲因子
穩健性設計的目標是找出可控因子的水平,從而使質量特性(回響)對噪聲因子的變化最不敏感,同時使回響的均值達到可接受的水平。一些噪聲因素如溫度、濕度等變數會對生產過程或產品產生很大影響,所以在過程或產品的設計階段就要考慮到噪聲因子的影響。田口提出的內外表法考慮了噪聲因子對質量特性的影響,但這種方法需要的實驗次數太多。有人將可控因子和噪聲因子結合到一個設計中如中心複合設計和Ben-Behnken設計,成為組合表設計,與內外表設計相比,這些設計只需要很少的實驗次數,而且可以估計出重要的互動作用。當噪聲因子隨機變化時,互動作用為方差的估計提供了一個合理的基礎。穩健性參數設計這一技術,完全依賴於噪聲因子和可控因子間的互動作用以及在實驗中控制噪聲因子的能力。目前多回響穩健性參數設計大多用損失函式目前,用損失函式法對多回響問題進行最佳化均沒有考慮噪聲因子的影響,因而不能達到真正的穩健。
最佳化效果分析
採用多元損失函式法,對噪聲因子存在下的多回響問題進行了穩健性參數設計,考慮了噪聲因子產生的方差和擬合模型的預測方差,給出了綜合方差的無偏估計,並在計算過程中考慮了回響間的權重。採用本法對實例進行分析並得到了更好的最佳化結果:得到的回響均值期望值的標準差與文獻中結果相比,提高了約6.7%。此方法,提高了解決方案對噪聲因子和參數估計的不確定性的穩健性,避免了方差產生負值。尤其是當回響模型的擬合效果欠佳時,該方法更為有效。同時,還考慮了回響的權重,使該方法成為了進行多回響穩健參數設計的有效方法。

