概述
氫是一種燃燒值很高的燃料,為(1.21~1.43)×10KJ/Kg,是汽油燃燒值的3倍。其燃燒產物又是最乾淨、無污染的物質水,是未來最有前途、最理想的能源。氫的來源比較廣泛,若能從水中製取氫氣,則可謂取之不盡、用之不竭。氫能源利用的發展,主要包括兩個方面:一是制氫工藝,二是貯氫方法。
貯氫的一種方法是利用高壓鋼瓶(氫氣瓶)來儲存氫氣,另一種方法是將氣態氫氣降溫到一253℃時.儲存液態氫。兩種方法都有不足之處:高壓鋼瓶貯氫時存儲的容積小,即使加壓到15MPa,所裝氫氣的質量也不到氫氣瓶質量的1%,而且還有爆炸的危險;液體儲存箱非常龐大。需要極好的絕熱裝置來隔熱,才能防止液態氫不會沸騰汽化。近年來,一種新型簡便的貯氫方法應運而生。即利用貯氫合金來儲存氫氣。
欽鐵貯氫合金是一種能儲存氫氣的合金,它具有儲存的氫的密度大於液態氫,氫儲入合金中時,不需要消耗能量反而能放出熱量,貯氫合金釋放氫時所需的能量也不高,加上工作壓力低,操作簡便、安全的特點,是最有前途的貯氫介質。貯氫合金的貯氫能力很強,單位體積內,貯氫的密度是同溫同壓下,氣態氫的1000倍,相當於儲存了1000個大氣壓的高壓氫氣。需要貯氫時,金屬與氫氣反應生成金屬氫化物且放出熱量.需要用氫時.在加熱或減壓的條件下,使儲於其中的氫釋放出來。如同鉛蓄電池的充、放電。
原理
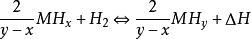
許多金屬(或合金)可固溶氫氣形成含氫的固溶體(MH),固溶體的溶解度[H]與其平衡氫壓P的平方根成正比。在一定溫度和壓力條件下,固溶相(MH)與氫反應生成金屬氫化物,反應式如下:
欽鐵貯氫合金式中,MH是金屬氫化物;△H為生成熱。貯氫合金正是靠其與氫起化學反應生成金屬氫化物來貯氫的。
作為貯氯材料的金屬氫化物,就其結構而論,有兩種類型。一類是Ⅰ和Ⅱ主族元素與氫作用,生成的NaCl型氫化物(離子型氫化物)。這類化合物中,氫以負離子態嵌入金屬離子間。另一類是Ⅲ和Ⅳ族過渡金屬及Pb與氫結合,生成的金屬型氫化物。其中,氫以正離子態固溶於金屬品格的間隙中。
金屬與氫的反應,是一個可逆過程(如上式)。正向反應,吸氫、放熱;逆向反應,釋氫、吸熱;改變溫度與壓力條件可使反應按正向、逆向反覆進行.實現材料的吸釋氫功能。換言之,是金屬吸氫生成金屬氫化物還是金屬氫化物分解釋放氫,受溫度、壓力與合金成分的控制。
