簡介
檢尺又稱鉤尺、檢徑尺。用以測量堆積原木小頭直徑的工具。在一根直尺的一端安裝一個比尺寬的金屬鉤。以鉤端為零,在尺面上以2cm為整化徑階刻度。使用時,只要鉤住斷面的邊緣,尺身通過斷面中心,另一端斷面的邊緣與尺身相切處的整化刻度值即為該斷面的直徑。
木材生產中驗收或調撥木材時對木材產品的產量和質量需要進行一種檢量的程式。由檢尺員根據木材標準和檢尺辦法進行。主要檢量原條或原木的徑級、長度,評定其等級,並計算材積 。
木材檢尺
檢量木材尺寸、確定材種和評定木材等級的過程。木材尺寸統一由厘米、米、立方米公制量度單位計算。直徑:原木量小頭直徑,原條量中央直徑,均除去皮厚,以2厘米為增進單位,不足者四捨五入。長度:原木長2—5米的按0.2米進位,長5.5米以上的按0.5米進位;原條由根端量至梢頭去皮直徑足尺6厘米處為檢尺長,以1米為增進單位,不足1米者由梢端捨去。每木調查時對活立木的測量,如胸徑、樹高的測定 。
①直徑檢量:在一般原條中,取原條長度中央部分的去皮直徑;在杉原條中,取距根部斧口2.5米處的去皮直徑;在原木中則以小頭斷面的去皮直徑,經進舍後作為檢尺徑。均以2厘米為一增進單位,滿1厘米進位,不足1厘米時捨去。例如檢量的直徑為24.8厘米,則檢尺徑為24厘米。原木檢尺徑的量取是通過小頭斷面中心,先量短徑,再通過短徑的中心垂直量長徑。如短徑不足26厘米,其長短徑之差在2厘米以上,或短逕自26厘米以上,其長短徑之差自4厘米以上者,稱為橢圓材,均以長短徑的平均值進舍後作為檢尺徑,否則均以短徑為準。對小頭端面呈不規整、雙心、劈裂等現象的原木,則按有關規定予以量取。原條檢尺徑的量取有兩種方法;一種是用篾尺量取周長換算成直徑;另一種利用卡尺直接量取。
②長度檢量:原條長度是從根部斧口(或鋸口)量至梢頭直徑足6厘米處為止,以1米為增進單位,不足1米的由梢端捨去。經進舍後的長度即為檢尺長。原木的長度應在大小頭兩端面之間相距最短處取直檢量。除加工用原木允許2.5米這一長級以及特級原木外,其他原木的長度增進單位均為0.2米,不足0.2米的捨去。此外,還規定各類原木有一定的長級公差。例如直接使用原木、針葉樹加工用原木和闊葉樹加工用原木的長級公差均為-2~+6厘米,特級原木為0~6厘米。如量得的實際長度小於原木標準規定的長級而又不超過負偏差時,則仍按標準的長級計算,否則按下一級的長度計算。
用檢尺徑和檢尺長兩因子可直接在有關材積表中查取材積。
量取直徑的工具有3種:①圍量材身周長並換算為直徑刻度的竹篾尺;②卡量材身直徑的卡尺;③量取端面直徑的尺桿。量取長度的工具有尺桿和捲尺兩種。檢量後的直徑和長度需在材身上加蓋相應的號印以便識別和使用。
重量檢尺
重量檢尺是將木材重量換算為材積的一種檢尺方法。木材先以衡器稱重,然後換算成材積。方法簡單、準確、用人少、工效高、經濟效益大,在美國、加拿大、瑞典、蘇聯等國家已得到較廣泛的試驗和套用。中國大興安嶺林區自1980年起套用衡器檢量從伐區運到貯木場的原條。
檢尺木材重量檢尺所套用的衡器主要有地衡和吊秤。①地衡:性能可靠,使用方便,但結構龐大笨重。稱重級有30、40、50、100噸,最小分度值有5、10、20千克,精度允差有1/1000、1/2000兩種。讀數裝置有錶盤指針和數字電子顯示兩種。數字電子顯示的讀數裝置,採用計算器電路,具有小型計算機和列印功能,適用於各種載重車輛和重物的自動計量。
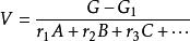
所稱得的木材重量用下式換算成材積:式中V為檢量的木材材積(立方米);G為檢量的木材與車輛總重(千克);G為車輛重(千克);r、r、r為各樹種的木材(含樹皮)容重(千克/立方米);A、B、C為車內各樹種的數量比例(%)。②吊秤:放置在起重機的吊具上或起重小車上,直接檢測起吊木捆的重量。木材容重與樹種、立地條件、採伐季節以及取材部位等因子有關。同一樹種生長在陽坡或陰坡、溝塘或山脊,木材容重即有差異。樹木採伐季節不同,木材存放時間長短,影響著木材含水量的多少。含水量多,容重就大。一根原條,大都是根部重,中部次之,梢部較輕。測定木材容重的方法較多。一般是將衡器運到伐區生產現場,在充分考慮到影響木材容重的各種因子之後,選擇具有代表性的樹木,抽樣測算,按統計學的方法確定容重。每年四季至少對各樹種測定1次。每次測定樹種的數量越多,其精度越高 。
發展與展望
木材檢尺的檢量原木、原條尺寸以確定其材積的作業。沿革中國的木材檢尺歷史悠久,早在17世紀40年代就創造了龍泉碼價。即用篾制的灘尺(1灘尺等於34.22厘米)在眉高處量取杉木周長,按標準材長確定價碼高低。碼價分8種,每種均規定標準材長。木材檢量時,要根據材幹上的節子、彎曲、尖削、腐朽、空洞、開裂等缺陷情況以及比標準材長的短缺程度予以讓尺或讓碼。但在1949年以前,全國沒有一個統一的木材檢量標準,因之各地所採用的計量尺和計量材積單位很不一致。例如前者有俄尺、日尺、英尺、市尺、閩尺、魯班尺、扎尺等;後者有日本方、日本科、日本石、板英尺、立方英尺、市方、中國石、中國方以及重量計算。1949年中華人民共和國成立後,明確尺寸度量採用米制,規定直徑以2厘米、材長以0.2米為增進單位,以原木小頭最小直徑作為檢尺徑。1958年經國家科學技術委員會審批正式頒布了《直接使用原木》、《加工用原木》、《木材檢驗規則》等國家標準。通過長期使用,於1984年修改了一系列舊標準,制訂了《直接使用原木》、《特級原木》、《針葉樹加工用原木》、《闊葉樹加工用原木》、《杉原條》、《原木檢驗》、《杉原條檢驗》、《原木材積表》和《杉原條材積表》等新的國家標準 。
為提高檢尺作業效率,世界各國都在研究不同的檢尺方法。在尺寸檢量方面主要是光電檢尺,利用平行光對原木橫向掃瞄或原木反射光的幅度來測算原木的粗度。在材積計算方面除利用光電檢尺配計算機以外,還有捆檢法、重檢法和水檢法等數種。捆檢法是檢量木捆(或木垛)的兒何尺寸,算出體積,然後乘以密實係數得該捆的材積。重檢法是用地衡或吊秤稱量成根或成捆木材的重量,而後除以木材的綜合容重,即得該根或該捆的材積。水檢法是將成捆木材沉入水箱中,根據水面上升的高差和水箱的水平面面積推算出木捆的實際材積 。
輪尺
輪尺是由尺身和與尺身保持嚴格垂直的固定臂、滑動臂三部分組成的測樹工具。又稱直徑卡尺。用於量測樹木直徑。輪尺兩根臂的長度必須比尺身最大刻畫數的長度的一半略長,使套用時能測定與尺身最大刻畫數等粗的樹木直徑。設計和製作輪尺,必須使滑動臂既能滑動自如,又能與尺身保持垂直。一般有三種設計:一是在滑動臂的尺身通道中安裝彈簧片與螺絲,以便隨時校正滑動臂的垂直度;二是把滑動臂的尺身通道,製成比尺身為寬的平行傾斜通道;三是在滑動臂的尺身通道的上下安裝滑輪。輪尺有許多變形和改進,如兩臂可以摺疊只留固定臂,或把固定臂改為弧形臂而去掉滑動臂,甚至只有特殊尺身而無臂等等。但是最有效的改進是自動記錄直徑輪尺,其中以能使測量胸徑分類計數結果直接輸入電子計算機的為最先進 。
輪尺是量測樹木直徑常用的測樹工具。主要由尺身、固定腳、滑動腳3部分組成。為使滑動腳在尺身上滑動自如,且測徑時保持與尺身垂直,需要在開口的上方或下方安上螺旋與金屬簧片以利於調節。輪尺刻度可精確到0.1cm,在測定大量樹幹直徑時,為簡化測算工作,一般是按1cm、2cm或4cm分組,所分的直徑組稱為徑階。輪尺按徑階下限刻度稱為整化刻度。此外,還有彎輪尺、叉式輪尺、自記輪尺和穿孔紙帶自記輪尺等。北歐的電子輪尺具有數據分類貯存器,並能直接輸入微機進行數據處理 。

