橫剖線形狀
橫剖線包括中橫剖線(或最大橫剖線)、首部橫剖線和尾部橫剖線。
中橫剖線(或最大橫剖線)形狀
圖1中橫剖面線的形狀主要與剩餘阻力有關,其形狀通常由中剖面係數C、龍骨半寬f和舭部半徑尺R等參數所決定。對於中剖面係數較大者,常設計成平底、直舷、帶圓舭的中橫剖面線;對於中剖面係數較小者,常設計成斜底(即有舭部升高h)、舷側外傾(即設計水線寬B小於型寬B)且圓舭半徑R較大的中橫剖面線(見圖1),這樣可改善船底水流的流動狀態,使水既可以沿水線又可以沿縱剖線和斜剖線流動,從而有利於降低形狀阻力。在淺水航道中還可以緩和吸底現象,有利於航向穩定性及艙底排水。
1)中橫剖面係數C的選擇
圖2中橫剖面係數對阻力的影響很小,因此該係數的確定主要考慮與其他係數的配合。對中低速船,如果Cb與 Fr 配合偏大時,應儘量採用較大的C,以降低C;如C和L/B的值較小,C也應適當減小。對於高速船,由於型線較瘦,為使中部不致過分凸起而造成明顯的突肩,宜採用較小的C,從而使棱形係數C接近最佳值。
2)其他要素的確定
對於中剖面形狀,其舭部升高h和半徑R應配合起來選擇。C較大的船,h值常很小,一般只有0.1m~0.3m,且有將h值取消的趨勢,以簡化工藝。對於C值小的船,h應取大些。對設計雙層底的船舶,h和R的配合應結合規範對雙層底高度的要求,從施工方便和內底對舭部的保護等因素來確定。
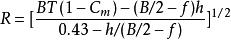
對於圖2所示的圓舭形中橫剖線,可從其幾何關係得出半徑R:
橫剖線如h=0,則
橫剖線式中,h可根據實船資料統計表1或母型船來選取;f則根據建造工藝要求來考慮,一般按船寬的1%~2%來選取。
表1端部橫剖線形狀
圖3就端部橫剖線形狀來說,可分為U形、V形和介於兩者的中問的中U和中V形,如圖3所示。通常,由於U形剖面排水體積可集中於下部,故與較瘦削的設計水線相對應;而V形剖面排水體積集中於上部,因而對應於較豐滿的設計水線。
設計船端部的橫剖線形狀很大程度上取決於橫剖面面積曲線和設計水線端部的配合情況。
1)首部橫剖線
從靜水阻力方面考慮,V形剖線可減小濕面積,降低摩擦阻力,同時它的舭部較瘦,有利於減少豐滿船(C≥10.75)在舭部產生渦流。但V形剖面由於設計水線首端豐滿,半進流角大,因而興波阻力較大。U形剖面船的排水最相對集中在下部,設計水線瘦削,半進流角較小,有利於減小興波阻力,但濕面積較大,造成摩擦阻力增大。由此可見,從總阻力來看,對應不同的速度,首橫剖線存在一個對阻力有利的形狀。圖4是瑞典哥德堡船舶研究院對某無球首船前體不同U、V橫剖面形狀研究出的阻力曲線。該研究表明:在低速和高速情況時,V形阻力明顯優於U形;在0.18<Fr<0.25範圍內,U形阻力性能較好。
圖4從耐波性角度看,對於V形剖面線,當首部下沉進入波浪中時,浮力和縱搖阻尼力矩逐漸增大,從而能減小縱搖及升沉運動,緩和船底砰擊(尤其是波長船長比λ/L=1.0),但會增加波浪中的航行阻力(尤其是λ/L<1.2左右)。對於大船則不用過多考慮耐波性問題。
從穩性角度看,V形剖面設計水線處的局部寬度較大,與之相關的水線面慣性矩和浮心高度也較大,因此在穩心半徑相同的情況下,V形剖面為主的船應較U形剖面船有較大的初穩性高度,但對大傾角穩性則很難斷定,設計時應全面考慮。
綜合靜水阻力和耐波性兩方面,對於低速船,其首部橫剖線採用V形較為有利;船長較大的中速船(Fr為0.23左右),航行中較少遇到超過船長的波浪,可偏重靜水阻力來考慮,宜採用U形橫剖面形狀;對於小型船舶,應偏重耐波性考慮,且從幾何關係處理上也應採用較V形的橫剖面形狀。
2)尾部橫剖線
常規單槳運輸船的尾部橫剖線也有V、U、中V、中U形,如圖3所示。通常船尾水下型線從阻力、伴流方面來考慮,同時兼顧水流分離和螺旋槳供水情況。
從阻力上看,船舶後體的型線應力求避免水流分離。V形橫剖面初濕面積較小外,且能使進入去流段的水流順暢地向後沿斜剖線流動,因此阻力性能較好。U形橫剖面容易形成舭渦且濕面積較大,在各種Fr情況下的阻力性能均稍差於V形剖面。
從尾部伴流考慮,U形和V形剖面對船尾伴流場的影響時不同的,對於肥大型船影響更為顯著。V形尾不僅軸向伴流的脈動量大,而且徑向伴流也不均勻。U形尾的軸向伴流分布較為均勻,不僅能提供推進效率,而且能減少螺旋槳葉梢部分的空泡和激振力。對於0.60≤C≤0.70的船舶,U形尾和V形尾對伴流影響的差別要小些。
從水流分離方面看,減小水流分離就是要避免船體型線出現過突的尾肩和沿水流方向過度的彎曲。如水流在流動方向上與船體表面的夾角達到15°,水流就開始分離。通常船尾水流是向後並向上內流動,因此型線沿流線的斜剖線曲率變化應緩和,避免出現S彎,且斜度儘量控制在20°以內。對於B/d較大的船舶,尾部水流更多地沿縱剖線流動,因此船尾底部的縱剖線傾斜度應儘量小,且形狀以接近直線為好。
圖5從螺旋槳供水方面考慮,螺旋槳前端儘可能尖削,水線形狀以直線或微凹為好,以便於螺旋槳吸水,減小推力減額,提高推進效率。對於尾部較豐滿的船尾,則應儘可能將螺旋槳後移,並適當加大與船體間的間隙,以便提高船身效率。
綜合以上幾方面,尾部剖面形狀可將提高推進效率和減小振動放在首位考慮,再兼顧阻力的影響。所以,中低速船尾部大多採用U形剖面,甚至加設球尾;中高速船和雙槳船常採用阻力性能優良的V形剖面。對於有些要兼顧阻力性能或布置要求的中低速船,也有將V形剖面形狀在接近螺旋槳處逐漸過渡到U形,如圖5所示。
繪製任意位置橫剖線方法
求已知型線上特殊點投影的方法
圖6在半寬水線圖、縱剖線圖或橫剖線圖已知型線上的一特殊點,求其在另外兩個投影圖上的投影點,方法基本相同。例如在半寬水線圖中,已知1400WL的某一點A,此點在縱剖線圖和橫剖線圖的投影點。作法如下(圖6):
(1)根據A點的長度值,在縱剖線圖1400WL上求出其投影a;
(2)在半寬水線圖上,製作半寬紙條記錄A點的半寬值,根據A點半寬值在橫剖線圖1400WL上求出其投影a。
繪製橫剖線方法(圖6)
1.求任意橫剖線在H和y面的投影
根據所作橫剖線對應的橫剖面所處船長的位置,在半寬水線圖和縱剖線圖上作出其投影直線。
2.作半寬紙條和高度紙條
(1)在半寬水線圖上,按橫剖線投影直線與各水線、上甲板邊線和舷牆頂線等的交點半寬製作半寬紙條,用半寬紙條記錄下各交點半寬值。
(2)在縱剖線圖上,按橫剖線投影直線與各縱剖線、上甲板邊線和舷牆頂線等的交點高寬製作高寬紙條,用高寬紙條記錄下各交點高寬值。
3.作任意橫線在橫剖線圖上的投影
(1)根據半寬紙條在橫剖線圖上,按投影規律作出任意橫剖線與各水線、上甲板邊線和舷牆頂線等的交點。例如半寬水線圖上任意橫剖線與1 400WL的交點A,它在橫剖線圖七的投影為a點。
(2)根據高寬紙條在橫剖線圖上,投影規律作出任意橫剖線與各縱剖線、上甲板邊線和舷牆頂線等的交點。例如,縱剖線圖上任意橫剖線與3 000縱剖線的交點B,它在橫剖線圖上的投影為b點。
(3)在橫剖線圖上,根據半寬紙條和高度紙條所得的任意橫剖線與各水線、縱剖線、上甲板邊線和舷牆頂線等的交點,用曲線板光順連線各點,即可得任意橫剖線在橫剖線圖上的投影。
注意:①由於甲板邊線和舷牆頂線一般為任意空間曲線,任意橫剖線與甲板邊線和舷牆頂線的交點應同時由半寬紙條和高度紙條來確定;②若任意橫剖線在橫剖線圖上與型寬線和船底線或基線相切連線,則應根據舷側邊平線和船底底平線求出切點位置。
通過肋骨平面所作的橫剖線稱為肋骨型線,肋骨型線是船長特定位置的橫剖線。在型線圖上根據肋位編號位置,利用作任意橫剖線的方法可作出肋骨線在橫剖線圖的真實形狀曲線。通過全船肋骨平面作出的橫剖線就是全船的肋骨型線,是肋骨型線圖的組成部分之一。

