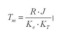
計算公式
控制上其計算公式為
R-繞組電阻
J-轉子慣性矩
Ke-感應電壓常數
Kt-轉矩常數
機電時間常數這兩者其實是等價的。
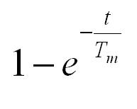
電機有兩個時間常數:機電時間常數Tm和電氣時間常數Te。通常Tm>>Te,這種情況下電機的傳遞函式可看作兩個慣性環節的串聯,兩個慣性環節的時間常數就分別是Tm和Te,而對於一般的套用,由於Te很小,對應的慣性環節可以忽略不計,於是電機的傳函就簡化為:1/(Tm*s+1)。對於這樣一個慣性環節,其階越回響為:
機電時間常數在階越發生後Tm時刻,其輸出即為0.632。
GD2R
Tm=--------------
375CeCtφ2n
伺服電動機機電時間常數的微機測試
時間常數是衡量伺服電動機快速動作的重要動態性能指標。時間常數可通過計算的方法求得,但是影響時間常數的因素很多,使得計算出的數值是一個近似值,還需要用實際測量的方法來得到實際的時間常數。
系統原理框圖
用單片微型計算機測量直流伺服電機機電時間常數系統,單片微型計算機採用MCS一51系列8031型,外接程式存貯器EPROM2716。顯示器用4位共陰極LED顯示結果。FD39一GP16為微型印表機,該微型印表機的特點可和多種微處理器連線,使用單一的+5V電源。它和主機之間的信息傳送可採用查詢方式或中斷方式。
TIL117為光電藕合器,用來控制直流接觸器ZC的吸合釋放,同時防止其它干擾信號竄入單片機系統。TILll7輸人端接地點和單片機系統接地點連在一起。
前置端速度檢測部分由雷射源JGE、光電管GDg、反射盤FP和支承圓盤組成。36個光電管均勻的分布在支承圓盤上構成光電盤,則電機每轉一轉,光電盤輸出36個脈衝。反射盤成45“角貼裝在電機軸伸端,其構成由輕質材料構成,則反射盤的轉動慣量完全可以忽略。
系統原理
單片機測量系統在測量時間常數 T時,首先由單片機的I/O口P口輸出一個開關量,通過光電藕合器 TIL117使直流接觸器 Z C線圈通電,接觸器 ZC吸合,啟動直流伺服電機 S,相當於在電機電樞繞組上,加一額定階躍控制信號。前置端雷射速度感測部分輸出反應轉速的脈衝信號,該信號經LF324放大後直接進入單片機8031的計數口 T進行計數,並由計算程式換算成相應的轉速值送LED顯示。啟動直流伺服電機的同時,單片機內部計時器開始計時間,一直到 T口測得電機轉速到空載轉速為止。系統進人中斷狀態,在中斷程式,一方面控制 ZC停止電機,另一方面進行數值處理和曲線擬合,最後把時間常數 T送LED顯示,同時印表機列印出數值和曲線。
系統軟體
測試系統的軟體主要包括主程式、檢測程式、中斷服務程式、各種運算程式、顯示掃描和列印管理程式。
主程式:進行初始化和空載轉速 n的測取,並將 n值送一單元存貯以備判斷比較程式用。空載轉速測定後,主程式要通過TIL117控制接觸器 ZC使電機停轉,並做好時間常數 T的準備。主程式包括一段軟體定時程式,該程式的目的是控制測定 n以後停機到開始測取 T重新啟動電機之間的時間,該時間可根據需要任意設定。
檢測程式、測取 T時,首先由拉測程式發出指令,通過TILll7使接觸器 ZC吸合,啟動直流伺服電機 S,同時內部計時器開始計時, T口開始對雷射速度感測器發來的脈衝進行計數,並由計算程式換算為轉速值,轉速值一方面送到LED顯示,另一方面送到數據存貯區存貯,以便數據列印和曲線擬合。當轉速到達空載轉速時,計時器停止計時,系統進入中斷狀態。
中斷服務程式:中斷程式中首先通過TILll7控制直流接觸器 ZC釋放,使電機停轉。然後調用數據處理程式,進行數據分析和曲線擬合,並把得到的時間常數 T送到LED顯示,印表機列印出數據和函式曲線。
微控電機機電時間常數測量誤差
微控電機,作為執行元件已被廣泛地套用於自動控制系統之中。工程上為了使系統在其感測器接到指令後迅速動作,就設法減小系統各個環節的機電時間常數。因此,對微控電機的機電時間常數提出了較高的要求。從微控電機設計和製造的水平看,機電時間常數達到零點幾毫秒是能辦到的。但對於零點幾毫秒級的機電時間常數的測量,尤其是高精度的測量卻是相當困難的。實際。上通常連百分之幾的精度也是很難達到的。這一點在實際測量中或微控電機的具體使用中應給予充分重視。
機電時間常數的測量誤差
1、電源設備的內阻抗,電源設備到被測電機引出線(或接線柱)之間線路的阻抗以及線路中所使用的儀器,儀表的阻抗。這一類誤差在整個測量或使用過程中始終存在著,而且對不同的電機有著不同程度的影響。
2、各種不同的測量環境條件、測量環境條件的同一性和穩定性。由於各種環境因素與要求的標準狀態不一致而引起的測量裝置和被測量體本身變化所造成的誤差。
3、測量方法的先進性和同一性以及試驗人員的情緒和水平。特別應當指出的是,由於試驗人員在測量過程中的任河疏忽大意都將使這三方面的誤差增大,而使測得的數值遠離被測電機真實值。因此,從典型試件入手,通過對測試方法、測試條件、測試設備的分析,以闡明這幾類誤差的影響程度。
直流伺服電動機的機電時間常數的測量
直流伺服電動機的機電時間常數的大小,就其自身而言,主要決定於其旋轉體的材料和結構形狀(旋轉體的轉功慣量)、空載轉速、電樞迴路阻抗、電動機的起動力矩、軸承和電刷的摩擦力矩等因素。但是由於直流伺服電動機其電樞迴路的短路阻抗通常較小,因此其起功電流和空載穩態電流之比較大,故當電源內阻及測試線路電阻與被測電機的電樞迴路短路阻抗可比擬時,將使起動時與空載穩態時電機的端電壓出現很大的差值,而這種因電阻壓降引起的差值將延長電機的機電時間常數並使測量誤差波動增大,也就是說這時的第1類誤差特別顯著,同時還由於熱狀態對電機輸入功率、輸出力矩及迴路電阻的影響,所以試驗條件的同一性就得不到保證,從而使第2類誤差也逐漸增大,且出現不穩定現象。同樣,測試方法和設備的優劣也將在相當大的範圍內影響到誤差的大小及其分布。
直流伺服電動機機電時間常數最簡捷的測定方法之一是電流法,即分別測出堵轉電流、空載電流和起動電流過渡過程的下滑段後,則可用作圖法求出機電時間常數 T。
交流伺服測速機組的機電時間常數的測量
交流伺服測速機組的機電時間常數的大小與直流伺服電動機相似,就其本身也決定於機組轉動件的材料和結構形狀(轉動慣量的大小)、電動機的空載轉速、控制相的短路阻抗的性質、起動力矩、軸承的摩擦力矩、發電機輸出功率等因素。合理選擇電源內阻、減小線路的阻抗,以便使第1類誤差限定在誤差允許的範圍以內。同時還應認真選定試驗方法和創造標定的試驗條件(如規定的安裝方式、相同的熱狀態、儀器儀表的總精度和內阻),並使測量有很好的重複性。
對於小容量的交流伺服測速機組,因其電動機控制迴路的功率不大,而測速發電機通常又工作在電壓輸出狀態,並有很好的線性精度,所以當交流測速發電機在輕載荷輸出下,其輸出電壓 U與轉速 N基本成線性關係。這就為其機電時間常數的測量提供了方便,因為當機組的電動機帶著發電機同軸運轉後,當發電機輸出電壓與激磁電壓同相時,則發電機輸出電壓的幅值 U隨時間的增長過程與其轉速隨時間的增長過程相一致,而且不論電動機的電氣時間常數如何,只要以合閘時作為起點,則發電機輸出電壓的波形包絡線與時間的關係曲線就可代表機組的轉速時間曲線。當用光線示波器取得了測速機輸出電壓波形曲線之後,以包絡線的水平穩定段為100,則可作圖得到63.2的水平線與包絡線的交點 B,因此可得到機電時間常數 T。

