機率講述
這個科學紀錄片集結了天文、地理(一小部分)、人文等一部分知識,更有趣的就是它的研究過程和結果。
拓展和研究出的公式
1. 指數增長通用公式用“兔子生兔子”舉例,Y等於兔子的數量t等於時間A和k是只有兔子才知道的常數
指數增長理論公式
2.公式論證2.關於線繞任何球體母線一周后再剪斷,加上一米後再接上,使線均勻抬到與球面相同的高度後,線與球與母線高度肯定為16cm。
3.防止切麵包圈受傷的公式3.計算切麵包圈的危險係數公式:
L表示麵包圈與桌面的夾角,S表示工作平面的摩擦係數,K表示刀子的鋒利程度,H表示麵包皮的硬度。實驗證明切麵包圈不小心導致受傷的機率是。
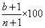
4.請酒公式4.社交時請下一輪酒的機率公式,b代表已經請過酒的人數,n代表喝酒的總人數
5.檯球公式5. 打落袋球(檯球)最佳的開球點是距離目標球 約20度角的位置
當兩球和球袋恰好成一條直線的時候,目標球在母球與球袋正中位置時最難打中
母球擊出的角度會有略微偏斜,用X表示,母球與目標球擦身而過的那一小段距離M
, W為球的直徑,P和B分別代表兩球離球袋的距離
所以當B等於加W時,失手的可能性最大
6. 愛情公式(圖片版改為中文版)
6.愛情公式另一些拓展
1.中子星的物質極度壓縮,各種亞原子粒子間沒有空間是宇宙中密度最高的,一勺中子星物質的質量高達500億噸
2.撥錯一個八位號碼可以有大約四萬種撥法
3.9乘以任何一個數字,乘積的各位數字相加總是9或9的倍數,把一個數的各位數字順序顛倒,減去原來的數字,結果肯定是9的倍數
4.世界最大的質數已接近800萬位,單單的把它寫出來就要七個星期,50公里長的紙。
5.硬幣擲的時候那一面朝上,落地時就那一面朝上
6.向後抬椅子,則失去控制的角度在25度到35度之間
7英國有超過一百萬部手機被狗吃掉
8. 英國每年有30宗藍冰墜落報告,大多在機場附近
9. 南非是世界上最平坦的國家
10.一條帶子環繞地球一周,剪斷後再加長一米,再都抬離地面相同的高度,則帶子與地球之間的縫隙有16cm(一種定理),足夠讓2億隻兔子同時鑽進去
11.一直鼠爸爸和一隻鼠媽媽一年能生小鼠一萬八千隻
12. 新加坡最著名的風水大師林恩普女士
13.要保證一架飛機會墜機就要正常飛行14億公里也就是說飛行了24萬個小時或者說是26年
14.英國一天的降鳥屎量就達三千噸
機率知識(無數字機率)
1.比賽統計顯示,穿紅色球衣的球隊勝率最高
2. 擲一個骰子是隨機的,單只兩個骰子不是完全隨機的出現7和14的機率比較大
3.硬幣擲的時候那一面朝上,落地時大多就那一面朝上
機率大全
1. 實驗證明切麵包圈不小心導致受傷的機率是 。
2. 手機替軀幹擋住子彈的機率是,能防止人受重傷的機率是40%,靠手機擋住子彈從而撿回性命的機率在1%左右
鋼筆替軀幹擋住子彈的機率是,靠鋼筆擋住子彈從而撿回性命的機率為0%
一枚硬幣替軀幹擋住子彈的機率是,靠一枚硬幣擋住子彈從而撿回性命的機率為0.001%
3. 穿襪子有80%的可能受傷,而穿高跟鞋受傷率為30%
4. 人被雷劈的機率在百萬分之一左右
主持人Grud Smith5. 在新加坡的廁所中自己被蛇咬傷的機率為八萬億分之一
6. 遭遇藍冰襲擊的機率是一百萬分之一
7. 先進球一方最後輸掉球的機率只有七分之一
8. 最好規則:前鋒更多在左邊更容易獲勝,門將應多於三分之二的機率撲左邊
9. 巴布亞紐幾內亞2.5%的急救病例都是與椰子有關,被一個椰子砸中的機率約為150萬分之一
10. 齒面朝上放置的金屬耙子導致受傷的機率達到 ,三齒耙更危險則為75%
用耙子梳理頭髮也可能有30%的幾率導致受傷
11. 男方生一對異卵雙胞胎的機率是,女方生一對同卵雙胞胎的機率是,同時生一對異卵雙胞胎的機率是,再度結合後又生一對雙胞胎的機率是,膚色有不同至少在百萬分之一以下,所以生一對異卵雙胞胎又膚色不同的機率為一萬億分之一,又都是男孩機率為,所以這些因素同時發生的機率為三十二萬億分之一
12.被數學定義為美的人有80%(人體符合黃金分割率)
13.90%的事故發生在家中
14.法蘭克香腸與人的手指有80%的遺傳相似度
15. 下蛤蟆雨的機率小於一百萬分之一
16. 如果用數學方法尋找東西,能把尋找時間縮短到原來的50%
17. 睡在垃圾箱裡被處理垃圾的車壓死的遇難機率大概只有
18. 在美國被閃電擊中的機率為,六次被閃電集中的機率為2.4兆兆分之一
19. 坐在車裡發生輕微事故的機率為,發生嚴重事故的機率是
20. 平均一趟出行,遇上紅燈和綠燈的機率為1:1
人物實例
“()”的機率為節目中未提到但顯示的
1.喬比亞斯首先他的車失控(機率為 1/1000),然後他撞上了鋼條,剛調的角度不偏不倚正好擊穿擋風玻璃(機率為1/291600000),然後傳進他的前額,但他活了下來
2.特雷福作為實例證明並揭秘足球彩票騙局
3.約翰加西亞(越南向美國移民軍人)和儂在同一個城市,約翰經過加油站並平時不會加油的情況下去加油(總機率為1/2000),在兩個收銀台中選了這一個(機率為1/2),選擇用支票而不是現金(機率為1/33),儂又問了問題(機率為1/3254654000000000000000)
4.瓦尼亞盧切西喉嚨必須處在特定的姿勢,牙刷必須處在特定的角度,速度和長度必須剛剛好,所以瓦尼亞吞下牙刷的機率應是幾十億分之一
5.娜塔莎全球知名模特關鍵大約比例為1.72被數學定義為醜,埃德溫人們給他錢就是為了看他的醜臉但被數學定義為美關鍵比例大約為1.62,與黃金分割率(約為1.618)基本相等
6.帕布羅佩雷茲加西亞和朋友多本尼特加西亞日子很緊,維克多丟了裝有交租的200美元的錢包,之後上里第一趟必須的潛水課,上了一艘這艘船,來的海洋的這個區域,在看到錢包之前已經部分掌握潛水技術,再加上維克多不知道錢包是在哪裡丟的,潮水很可能把錢包衝到別的地方,要么沒人發現,要么被別的潛水員發現,在海底十天前丟的錢包,機率小的無法計算
7.傑里杜蘭的高中畢業戒指有點松,沖水的時候解釋突然從手指上滑落,掉進一般大小的馬桶被沖走了,偏巧在沖水的時候又掉進馬桶的總機率為1/500 ,戒指在科羅拉多幾百公里的下水道里,戒指正好停在陰井下的機率是1/1000,陰井正好堵塞需要疏通,其中一位工人正好喜歡珠寶並撿起珠寶的機率是六萬分之一,戒指有沒被下水道中的物質腐蝕,所以近30年後又找回來的機率是二十億分之一
8.伊塞得羅在建築工地幹活,被摔下的同時,工友不小心用射釘槍攝入他六顆釘子,及時搶救後活了下來的機率為30億分之一
9.比爾摩根卡車司機,被六噸雞蛋壓傷送往醫院,吃了醫生推薦的降低心率的藥後過敏,手術後又被救活,主要是買刮刮卡後中了車,在拍攝時又中了25元,連續中兩次的機率有60億分之一,以後要想再中一次則是60萬億分之一,但他不服氣又中了8元
10.Ng Keng choon作為停車管理員,一天晚上遭遇一群流氓的圍攻,但沒什麼感覺,五年後才在醫院中檢查出,鼻腔中有半截筷子,才明白流氓用的兇器是筷子,五年後又沒有任何感覺和病發症,又被複查去除,倖存機率大約僅有一百億分之一
11.貝蒂盧奧利佛是帝國大廈的一名電梯操作員,正巧有一架B-25轟炸機轉錯了方向撞上了帝國大廈的47層,機率為三百萬分之一,產生的大火把貝蒂盧燒傷的機率為1/100,從乘坐電梯高空350米掉自由落下的生還率僅不到百萬分之一,之後的保險繩又恢復了正常生還率僅有三百兆分之一
12.尼爾在沙漠中撞樹的機率小的微乎其微,倖存機率就更小了;在僅僅起飛了
1個小時的飛機里發生故障爆炸倖存的機率為5500萬分之一,而他什麼事也沒有,又換了一輛車又撞了,一天出了三起事故仍然倖存
13.羅斯林戒指在游泳課上丟了,在據她家十英里外的水果攤上吃到的藏有自己丟失戒指的蘋果的機率僅有一萬兩千五百億分之一,一隻鳥把一枚戒指撿起來再扔到長得好的蘋果花上的機率僅有七千五百萬分之一
14.弗朗諾史萊克,1962年搭乘列車,結果和火車掉進了冰冷的河裡,17人死亡,他游回了岸邊,1963年他坐飛機去看望生病的母親臨近降落時,飛機爆炸20人死亡,他落在乾草堆上,撿回了一命,1966年他乘坐巴士又發生了意外掉進了河裡,1970年他的車子著火了,在車著火前跳了下去,1973年他的又買的車子由於油箱泄漏引擎發生了爆炸,但逃了出來,頭髮被燒著了,1995年走著被一輛公車撞了,幾年後他又買了第三輛車,車衝出圍欄後落下懸崖後,他跳出車抓住了樹,車子在100米外爆炸,退休後買了張彩票中了100萬美元,成為世界上最幸運的人。
15. 歷史上唯一一個曾被閃電擊中過七次的人是羅伊蘇利文,維吉尼亞的一名公園巡邏員,第一次遭遇在1942年劈掉了他的腳上的大拇指的指甲;1969年他沿著山路開車時被閃電擊中,燒掉了他的眉毛;1970年閃電又擊中了他,燒著了他的肩膀;1972年在林務區她的頭髮被電劈著了;1973年坐在車裡遭遇了閃電的襲擊,頭髮再次著火;1977年6月25日第六次被閃電擊中,那時他正在檢查宿營地,傷到了腳踝,他退休後1979年6月5日去釣魚,第七次被閃電擊中,胸腔和胃燒傷了,經醫治後活了下來。
拓展生活最好規則(主持人原話)
足球比賽的最好要求
前鋒:身高是4300px,體重78公斤
門將:身高矮於4625px,手掌不窄於625px
十大避雷須知(從最危險開始)
10.不要打高爾夫,站在空曠的球場上,高舉金屬球桿是極不明智的,當以一副電壓接通你的身體,你只有百分之一秒的時間來後悔為什麼不選擇一項更安全的運動
9.躲進汽車,搖上車窗,金屬車身比你更導電,而電流總是喜歡電阻最小的通道
8.因為同樣的道理,遠離樹木,你的身體比樹木更導電,如果閃電擊中樹幹,你的身體會將電流吸引過來
7.如果在野外遇到閃電,儘量縮小你的目標,如果身邊有別人,離開他,如果你不喜歡他,不要解釋你為什麼躺在地上
6.如果在下雨,寧可淋雨也不要撐傘,淋雨最多會發燒,但如果被閃電擊中,那么你的體溫回達到太陽表面溫度的三倍
5.即使在室內,不要給朋友打電話吹噓你這裡的閃電如何如何,要知道,每40個閃電受害者中有一個是通過電話線被擊中的
4.不要出去游泳,閃電的電流比你家裡的市電強100倍左右,而且比你更喜歡水,
3.穿膠鞋沒有用,空氣是很好的絕緣體,但閃電能擊穿一英里的空氣,幾厘米厚的橡膠根本擋不住它
2.如果閃電擊中你身邊的地方,馬上離開,閃電很有可能兩次擊中同一個地方,帝國大廈每年被雷劈一百次左右
1.最後,不要帶襯金屬絲的胸罩。
走出迷宮的方法:
笨方法:始終把手貼在迷宮的籬笆上(本節目),就一定能找到出口
好方法:規則1.第一次經過的路徑上碰到一個曾經的岔道口,往回走
2.優先選擇新的路徑
3.一條路徑不要走兩次以上
其它趣味
主持人經典幽默語錄集合
1.我們的節目用數字煽的你團團轉,然後一回身冷冷的看著你團團轉
2.我說你還是相信吧,因為數字是不會撒謊的
3.當倖存者向人們訴說生還經過的時候,人們最常問的問題就是,你腦子裡最先閃過的東西是什麼?這個貌似正常的問題對某一個人是不合適的,因為他的腦子裡最先閃過的是一根鋼條
4.記住,天上掉的餡餅,不太會是真餡餅
5.我們的節目從日常生活中截取取活生生的數字,揭示活生生的真理,保證讓你目瞪口呆
6.你愛數字,數字就愛你,你要是不把數字放在眼裡,那你每次都會輸
7.我們的節目從日常生活中挖掘數字的奧秘,搞的大人直撓頭,下的小孩子哇哇叫
8.好好記得你的幸運數字
9.我們的節目從日程生活中採集新鮮的數字,加點特別的作料,讓你當場嘗一口,看你是什麼表情
10.一位智者曾經說過如果要撒謊就要撒的圓,那個智者就是我
11.如果你要搞點小動作,一定要注意,不要被數字揭穿
12.我們的節目爬進你的煙囪,在你的床頭留下一堆數字,看你的父母怎么解釋聖誕老人是不存在的。
13.這個示例可以告訴你數字和機率可以在不知不覺的影響著你的生活
14.忘記媽媽的生日是該死,不知道生日悖論是找死
15.下次如果你對生活該到失望,不妨用這些數字(從宇宙形成的機率到你存在的機率)來激勵自己,當然你有百分之一百的可能會死,但從積極方面看,你來到這個世上已經是一個奇蹟,好好生活吧。
16.數字和機率有個壞習慣,就是經常打擊你的直覺
17.如果有人說數字不重要,那就告訴他,他大腦中的神經比星星還多,如果這還不起作用,就對他狂笑吧
18我們的節目是一場數字冒險,你可能恍然大悟,也可能徹底傻眼,試試看就知道
19.歡迎收看我們的節目,希望我們的節目不會讓你感到頭暈
20.走進一個小盒子,然後再以一定的速度被提升到一個20層樓高的大樓的樓頂,這樣的事21.情每天都會發生,不過我們喜歡把這樣的事情叫做乘電梯
22.數字是生活的必須,沒有它日子就過不下去
23. 我們的節目用數字的天平讓你心理失重,小腦失衡
拓展出的定理
1.奔福德定理
2.邏輯問題“行刑者和四頂帽子”
3. 黃金分割率
4.分形維數
5.生日悖論
6.貝葉斯理論和傅立葉分析
7.博弈論
8.莫比烏斯環
9.搜尋理論

