車道寬度
在機動車道上為每一縱列的車輛提供安全行駛的地帶,稱一條車道。其寬度應根據行駛車輛的車身寬度,及車輛在行駛時距橫向物體或車輛的安全距離確定。車道的寬度(B)可分為供沿路邊右側停靠車輛用的車道。停小客車寬度為2.5m,停大客車和公車為3.0m。供車速為40km/h的各種車輛行駛的車道為3.5m;供車速大於40km/h的各種車輛混行和供大型公車輛、載重汽車行駛的車道為3.75m;交叉口的進口道、小客車專用道寬度為3.0m。混行車道最小為3.25m。
車道數
機動車道的車道數,常根據城市規模和道路等級確定。
機動車道的車道條數常採用偶數。車速快、車道條數多的機動車道,道路中間常用雙黃線作為隔離線,分成雙向交通,車行道的寬度應計入雙黃線的寬度。若中間用分隔帶或欄桿分開,則應再加上兩側的橫向安全距離寬度各0.25m。對於道路交通量有潮汐變化的機動車道,不設中間分隔帶,車道數採用奇數或偶數均可,在每條車道上空的兩面都裝有紅(或×)燈和綠(或↑)燈,當早上高峰小時單向交通量很大時,可以將大部分車道開放綠燈,滿足車輛交通要求,這時對向可通行的車道減少。當下午高峰小時對向交通量大增時,可以變換交通信號燈,使綠燈的車道數增加。從節約道路用地、降低長橋或隧道造價的角度講,這種變換行車方向的辦法是十分有效的。
路段上機動車道的車道數不宜過多,單向車道超過4條時,連續行進中的車輛,要從外(內)側車道變換到內(外)側車道十分困難,尤其在車流很密時容易造成交通混亂。此外,由於路段車道的通行能力受到交叉口車道通行能力的限制,路段車道數過多也難以發揮作用。國外在舊城改造中,常根據交叉口進口車道的通行能力反推路段所需的車道數,將多餘的車道闢作路邊停車道或公交站點和出租汽車站。
路段上機動車道的車道數也不宜過少。在城市裡有大量公車輛行駛,為了方便乘客乘車,縮短步行到車站的距離,要加密公交路線網和站點的密度,使公車輛主要在次幹路和支路上行駛和停靠。而這些道路的車道數不多,公車慢速行駛會壓低整個路網上的速度,所以,要為公交設定港灣式停靠站,以保證其他車輛在車道上能順暢通行。對於中小城市的支路,機動車輛相對少些,有時將機動車與非機動車組織在同一幅車行道上,總共採用3~4車道,以節約道路用地,但對公交停靠站仍應做成港灣式。
通行能力
機動車道的通行能力可分為基本通行能力、可通行能力和設計通行能力。
1.基本通行能力
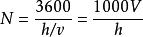
一條機動車車道的基本通行能力是指在道路、交通、環境和氣候均處於理想條件下,由技術性能相同的一種標準車輛,以最小的車頭間隔連續行駛,在單位時間內通過一條車道或道路路段某一斷面的最大車輛數。這是一種理想狀態下的通行能力,也稱理論通行能力。
理論通行能力採用車頭間距推算,與車頭間距存在以下關係式:
機動車道式中,N——理論通行能力;
h——車頭間距(m);
v——行車速度(m/s);
V——行車速度(km/h)。
2.可能通行能力
可能通行能力是通常道路交通條件下,單位時間內通過道路一條車道或某一斷面的最大可能車輛數。對於一條無橫向干擾的高架快速路,在較長的路段上暢通無阻地連續行駛的車流,即可達到路段的可能通行能力。
一條車道的可能通行能力:
機動車道式中N——一條車道可能通行能力(pcu/h);
h——連續小客車車流平均車頭時距(s/pcu)。
3.設計通行能力
一條機動車車道在路段上的設計通行能力系指道路交通的運行狀態保持在某一設計的服務水平時,道路上某一路段的通行能力。
路段設計通行能力分為兩類:
一、不受平面交叉口影響的一條機動車車道的設計通行能力
機動車道
機動車道式中,——道路分類係數;
機動車道——一條車道的可能同行能力。
二、受平面交叉口影響的機動車道設計通行能力
在快速路或郊區道路上,交叉口間距較遠,可不考慮交叉口的影響。而當路段上交叉El間距較小時,車流不能連續通行,因此對路段設計通行能力還應予以修正。修正係數主要受交叉El間距和信號燈配時的影響,稱為交叉口折減係數。
設計注意
機動車行車道是城市道路橫斷面最重要的組成部分,設計時應綜合考慮道路性質、紅線寬度、交通條件等,因地制宜,靈活處理,在設計過程要注意以下問題。
①一般車行道兩個方向的車道數相等,車道的總數多為偶數,如雙向四車道、八車道等。根據實際情況,有時也可採用奇數車道,如在某些方向不均勻係數較大的道路上,可利用交通管理措施,把其中一條車道行車方向,隨時間不同而轉為相反方向,也就是有一條車道供兩個方向使用,只是在使用時間上加以限制。
②雙向車道數一般不宜超過4~6條。由多車道對通行能力的影響可看出,當一條道路上的車道數越多,則靠路邊的車道利用係數越小,而且車道過多會引起行人過街不便、駕駛人員操作緊張,以及因超車、搶道造成交通過分集中和交通秩序混亂,給交通組織管理工作帶來困難。因此,設計過多的車道對於增加道路通行能力的作用足不大的。在一般的中、小城市,主幹道最多以設計4條(雙向,不包括非機動車道寬度)為宜,大城市和特大城市的主幹道最多以設計4~6條機動車道(雙向)為好,如仍滿足不了交通發展的要求,則應考慮疏散該道路的交通、改善道路網、調整交通集散點的布局、修建平行道路、合理改善城市布局等方面來入手解決。
③同一路線各路段在城市中所處的位置不同,各個路段的交通量、交通狀態和沿線道路條件也不一致,機動車道寬度可根據各條車道的不同功能和交通組織而確定,不一定強求一致。但在同一條路線上,特別是在直線段上,變化過多或過於突然,對於行車也是不利的。
④根據各地城市道路建設經驗的規定,雙車道寬度一般取7.5~8.0 m;三車道10.0~11.0 m:四車道13.0~15.0 m;六車道19.0~22.0 m。

