飛機載荷
飛行中,作用於飛機上的載荷主要有飛機重力、升力、阻力和發動機推力(或拉力)。飛行狀態改變或受到不穩定氣流的影響時,飛機的升力會發生很大變化。飛機著陸接地時,飛機除了承受上述載荷外,還要承受地面撞擊力,其中以地面撞擊力最大。飛機承受的各種載荷中,以升力和地面撞擊力對飛機結構的影響最大。
平飛中的受裁情況
飛機在等速直線平飛時,它所受的力有:飛機重力G、升力Y,阻力X和發動機推力P。為了簡便起見,假定這四個力都通過飛機的重心,而且推力與阻力的方向相反,則作用在飛機上的力的平衡條件為:升力等於飛機的重力,推力等於飛機的阻力。即Y=G,P=X。
飛機作不穩定的平飛時,推力與阻力是不相等的。推力大於阻力,飛機就要加速;反之,則減速。由子在飛機加速或減速的同時,駕駛員減小或增大了飛機的迎角,使升力係數減小或增大,因而升力仍然與飛機重力相等。平飛中,飛機的升力雖然總是與飛機的重力相等,但是,飛行速度不同時,飛機上的局部氣動載荷(局部空氣動力)是不相同的。飛機以小速度平飛時,迎角較大,機翼上表面受到吸力,下表面受到壓力,這時的局部氣動載荷並不很大;而當飛機以大速度平飛時,迎角較小,對雙凸型翼型機其來說,除了前緣要受到很大壓力外,上下表面都要受到很大的吸力。翼型越接近對稱形,機翼上下表面的局部氣動載荷就越大。所以,如果機翼蒙皮剛度不足,在高速飛行時,就會被顯著地吸起或壓下,產生明顯的鼓脹或下陷現象,影響飛機的空氣動力性能。
作曲線飛行時的受載情況
飛機在垂直平面內的由線飛行飛機在垂直平面內作曲線飛行的受載情況如圖所示。這時,作用於飛機的外力仍是飛機的重力、升力、阻力 和發動機的推力。但是,這些外力是不平衡的。
曲線飛行雖是一種受力不平衡的運動狀態,但研究飛機在曲線飛行中的受載情況時,為了方便起見,可以假設飛機上還作用著與向心力大小相等、方向相反的慣性離心力。這樣,就可以把受力不平衡的曲線飛行作為受力平衡的運動狀態來研究。
飛機在垂直平面內作曲線飛行時,升力可能大大超過飛機重量。飛機在曲線飛行中所受的載荷可能比平飛時大得多。
飛機過裁
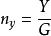
極限載荷係數在曲線飛行中,作用於飛機上的升力經常不等於飛機的重量。為了衡量飛機在某一飛行狀態下受外載荷的嚴重程度,引出過載(或稱載荷係數)這一概念。作用於飛機某方向的除重量之外的外載荷與飛機重量的比值,稱為該方向的飛機重心過載,用n表示。飛機在y軸方向的載荷係數,等於飛機升力Y與飛機重童的比值,即 。
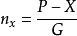
極限載荷係數飛機在x軸方向的載荷係數等於發動機推力P與飛機阻力x之差與飛機重量的比值,即 。
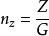
極限載荷係數飛機在z軸方向的載荷係數等於飛機側向力(Z)與飛機重量的比值,即 。
飛機在飛行中,y軸方向的載荷係數往往較大,它是飛機結構設計中的主要指標之一,飛機的結構強度主要取決於Y方向的載荷係數。而其他兩個方向的載荷係數較小,它們對飛機結構強度的影響也較小。
在不同的飛行狀態下,長機重心過載的大小往往不一樣。過載可能大於1、小於1、等於1、等於零甚至是負值,這決定於曲線飛行時升力的大小和方向。飛機平飛時,升力等於飛機的重量,n等於1;曲線飛行時,升力經常不等於1。駛員柔和推桿使飛機由平飛進如下滑的過程中,升力比飛機重量稍小一些,就小於1;當飛機平飛時遇到強大的垂直向下的突風或在垂直平面內作機動飛行時,駕駛員推桿過猛,升力就會變成負值,n也就變為負值;當飛機以無升力迎角垂直俯衝時,載荷係數就等於零。
極限載荷係數就是指在飛機最大載荷能力下的載荷係數的值。
飛機部件的過載
在研究飛機各部件的載荷時,只知道飛機的極限載荷係數是不夠的,還必須知道部件的極限載荷係數。部件過載是該部件在某一飛行狀態中的質量力與其本身重量的比值。當飛機沒有對重心的角加速度時,部件的過載等於飛機的過載;當飛機有對重心的角加速度時,飛機重心以外各部件的過載等於飛機的過載加上或減去一個附加過載。
