基本介紹
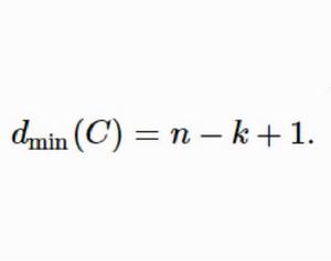
極大距離可分碼定理1辛格爾(Singleton)頓界 設是一個參數為[n,k]的線性碼,則C的極小距離d≤n-k+1。
以上表明一個線性碼的極小距離不會“太大”,無論怎樣努力,都不能夠構造出一個參數為[n,k]的線性碼,使得它的極小距離大於n-k+1,由此可見,最好的期望就是構造使得極小距離等於n-k+1的線性碼,於是引出下面的定義 。
一個參數為[n,k]的線性碼C,若滿足d(C)=n-k+1,則稱該碼為 極大距離可分碼,簡稱為 MDS碼。
事實證明,MDS碼是存在的,下面廣義Reed-Solomon碼就是MDS碼。
相關介紹
證明定理1之前先介紹一個定理,下面的定理揭示了線性碼的校驗矩陣與其極小重量亦即極小距離之間的關係 。
極大距離可分碼定理2設 是一個參數為[n,k]的線性碼,令 u∈C,W( u)=m,C的校驗矩陣為 H,則 H中有m列存在一個線性相關關係。反之,對於 H的m列中任何一個線性相關關係,都對應一個C中重量不大於m的碼字。
證明:因為 u∈C, H是C的校驗矩陣,所以 Hu =0,又W( u)=m,去掉 u的零分量,這正是H的m列的一個線性相關關係。因此,H中有m列存在一個線性相關關係。反之,如果H的m列有一個線性相關關係,則存在m個不全為零的係數,使得這m列的線性組合等於零,現在定義一個一維行向量u:與這m個列對應的分量就取對應的這m個係數,其餘分量取零。顯然,W( u)≤m, Hu = 0,所以, u是一個C中重量不大於m的碼字。
極大距離可分碼推論1設 是一個線性碼,C的校驗矩陣為 H,則C的極小重量亦即極小距離為d若且唯若d=max{m| H的任意m-1列都線性無關}。
證明:由定理2可得。
定理1的證明:設參數為[n,k]的線性碼C的校驗矩陣為 H,則 H是一個秩為n-k的(n-k)×n矩陣,因此, H中的任意n-k+1列都線性相關。由定理2可知,
d≤n-k+1。
極大距離可分碼舉例
極大距離可分碼Reed-Solomon碼 一個Reed-Solomon碼(RS碼)是F上長為n=q-1的本原BCH碼,這種碼的生成元具有形式g(x)=,其中α是F的一個本原元。
下述定理3的系理實際上就是說Reed-Solomon碼是極大距離可分碼。
定理3設計距離d的碼長q-1的q元Reed-Solomon碼的極小距離等於d.。
系理 設計距離d的碼長n=q-1的q元Reed-Solomon碼的碼長n,信息位的個數k和極小距離d三者之間適合關係式:
d=n-k+1.
注意,一般說來,我們有:
定理4 (n,k)線性碼的極小距離d≤n-k+1。

