定義
函式圖
極值點
極值點
極值點
極值點
極值點
極值點
極值點
極值點
極值點
極值點
極值點設函式在區間有定義,,若, 有 (或),則稱是函式的一個極大值(或極小值), 是函式的一個極大值點(或極小值點)。極大值與極小值統稱為極值;極大值點與極小值點統稱為極值點。上面的不等號若嚴格成立,則稱為嚴格極值點,對應函式值稱為嚴格極值。
注意:
極值點
極值點
極值點
極值點
極值點
極值點(1)極值點只關心在 內的局部函式值,不關心是否可導。因此函式在極值點處可能不可導,如 在 處不可導。
(2)極值點是函式圖像的某段子區間內上極大值或者極小值點的橫坐標。
(3)極值點出現在函式的駐點(導數為0的點)或不可導點處(導函式不存在,也可以取得極值,此時駐點不存在)。
極值點
極值點
極值點(4)可導函式的極值點必定是它的駐點。但是反過來,函式的駐點卻不一定是極值點,例如,點是它的駐點,卻不是它的極值點。
極值點(5)極值點上的導數為零或不存在,且函式的單調性必然變化。
定理
極值點
極值點
極值點
極值點
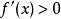
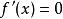
極值點若函式在處可導,且是函式的極值點,則
極值點
極值點
極值點
極值點
極值點
極值點
極值點
極值點
極值點
極值點
極值點
極值點
極值點註:若去掉“函式在處可導”的條件,則函式的極值點處不一定有,如;此外,若,則不一定是極值點,如在處,有,但不是的極值點。
判別方法
極值點(1)若函式可導
極值點
極值點
極值點
極值點
極值點
極值點
極值點
極值點
極值點
極值點
極值點【第一判別法】若函式可導,,且,有(或)同時,有(或),則是函式的極大點(或極小點)
極值點
極值點
極值點
極值點
極值點
極值點
極值點
極值點
極值點
極值點
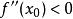
極值點【第二判別法】若函式存在二階導數,是函式的穩定點,即,而,則當時,是函式的極小點;當時,是函式的極大點。
極值點(2)若函式在一些點不可導,則需要用定義判斷。
計算方法
(1)單變數函式的極值求法
極值點a. 求導數;
極值點b. 求方程的根;
極值點
極值點
極值點c. 檢查在函式圖象左右的值的符號,如果左正右負,那么在這個根處取得極大值;如果左負右正,那么在這個根處取得極小值。
極值點
極值點
極值點
極值點
極值點特別注意:無意義的點也要討論,即可先求出的根和無意義的點,這些點都稱為可疑點,再用定義去判斷。 例如: 在的導數是不存在的。
極值點(2)二階連續偏導數的函式的極值求法,敘述如下:
極值點
極值點a. 解方程組,,求得一切實數解,即可求得一切駐點;
極值點
極值點b. 對於每一個駐點,求出二階偏導數的值;
極值點
極值點c. 定出的符號,判定是否是極值,是極大值還是極小值。
極值點注意:當函式僅在區域D內的某些孤立點不可導時,這些點不是函式的駐點,但這種點有可能是函式的極值點,要注意另行討論。
極值點與穩定點
極值點
極值點
極值點
極值點方程的解,即稱為函式的穩定點
極值點
極值點註:定義不要求函式可導,所以可導函式的極值點必須是穩定點,但穩定點不一定是極值點。

