植筋技術簡介
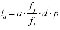
植筋技術適用於鋼筋混凝土結構。對素混凝土結構和最小配筋百分率不符合構造要求的鋼筋混凝土結構,其植筋應按錨栓計算方法進行設計。1.1植筋基本原則1.1.1.植筋的錨固應使結構內部應力通過後植鋼筋充分傳遞給混凝土,並應避免混凝土產生剝離和劈裂破壞。1.1.2.混凝土保護層厚度、鋼筋間距以及箍筋的情況也應予以考慮。1.1.3.當採用植筋錨固時,其基本原則是保證鋼筋屈服,並假定在使用極限狀態的粘結應力均勻地布置在整個鋼筋長度上。1.1.4.設計目的是保證鋼筋延性破壞,而避免混凝土(受壓或受拉狀態)脆性破壞或劈裂破壞。1.2植筋的基本錨固長度植筋的基本錨固深度la(僅限發生鋼筋鋼材破壞,避免拔出或劈裂破壞):
植筋
(14.2.2)
式中:
植筋
a-鋼筋形狀係數,帶肋鋼筋為1.4;P-後植鋼筋考慮鋼筋大小對劈裂的影響、混凝土保護層厚度以及箍筋的影響參數。
植筋膠
植筋的主要理論基礎——新植筋理論並對錨固膠的耐久性能等提出的很高的要求14.1.3隻有各項指標滿足附錄1-4實驗要求的粘結劑才能用於加固工程的植筋套用。這樣的粘結劑還需具備以下性能:
1.後植鋼筋的粘結強度應大於預埋鋼筋的粘結強度;2.後植鋼筋的力—位移曲線應與預埋鋼筋的近似;3.受力過程中,粘結應力應沿鋼筋長度均勻地分布;4.粘結劑應具有足夠的耐久性、抗震及長期性能。
14.1.4
14.1.5
14.1.6
14.1.7若被植鋼筋的混凝土結構間距、邊距有很大限制或較小時,或其構造上難以增大錨固深度而又要求所植鋼筋不致發生脆性粘結破壞或混凝土劈裂破壞時,應考慮結構混凝土保護層及箍筋的約束進行計算來選用合適的粘結劑。
當使用純無機粘結劑(近似水泥)植筋時,其植筋構造及基本錨固長度應按《混凝土結構設計規範》有關規定確定。
當採用符合本規範規定的植筋進行加固改造時,被植筋的鋼筋混凝土結構構件的強度、剛度、抗裂度和穩定性的驗算可按整體構件進行。
後植鋼筋應使用帶肋鋼筋。
混凝土結構加固改造工程中,植筋使用的粘結劑分為兩類:1.以水泥為主成分,與膨脹劑等組成的普通粘結劑;2.以聚氮酯甲基丙烯酸酯,或乙烯基酯甲基丙烯酸酯,或改性環氧樹脂等為主成分,與水泥、石英砂等組成的高性能粘結劑。
植筋的工藝流程
彈性定位→鑽孔→洗孔→注膠→植筋→固化養護→抗拔試驗→綁澆混凝土
